रासायनिक बंधन और आणविक संरचना मा. डी.
यूनिट 4
रासायनिक बंध और अणु संरचना
आई॰ बहुविकल्पीय प्रश्न (प्रकार-1)
~~ 1. इसोसंरचित प्रजाति वे होती हैं जिनकी सार्थकता और हाइब्रिडीकरण में एक ही आकृति होती है।
दिए गए प्रजातियों में इसोसंरचित जोड़ों की पहचान करें।
(i) $[NF_3.$ और $.BF_3]$
(ii) $[BF_4^{-}.$ और $.NH_4^{+}]$
(iii) $[BCl_3.$ और $.BrCl_3]$
(iv) $[NH_3.$ और $.NO_3^{-}]$
~~ 2. मोलेक्यूल में प्रेक्षिपणता और इसलिए डीपोल-क्षेत्र केंद्रीय रूप से तत्वों की प्रेक्षिपणता और मोलेक्यूल के आकार पर निर्भर करती है। निम्नलिखित में से कौनसी में सबसे अधिक डीपोल-क्षेत्र होता है?
(i) $CO_2$
(ii) $HI$
(iii) $H_2 O$
(iv) $SO_2$
~~ 3. $NO_2^{+}, NO_3^{-}$ और $NH_4^{+}$ में नाइट्रोजन में हाइब्रिड ऑर्बिटल के प्रकार संभवतः होंगे
(i) $s p, s p^{3}$ और $s p^{2}$
(ii) $s p, s p^{2}$ और $s p^{3}$
(iii) $s p^{2}, s p$ और $s p^{3}$
(iv) $s p^{2}, s p^{3}$ और $s p$
~~ 4. हाइड्रोजन बंध कई संयोजनों में बनते हैं जैसे $H_2 O, HF, NH_3$। इसके अलावा इसकी उबलने की अंक का बड़े हिस्से पर हाइड्रोजन बंध की मजबूती और हाइड्रोजन बंधों की संख्या पर निर्भर होती है। ऊपर के संयोजनों की उबलने की आदेश की सही कम होने की क्रमबद्धता होती है:
(i) $HF>H_2 O>NH_3$
(ii) $H_2 O>HF>NH_3$
(iii) $NH_3>HF>H_2 O$
(iv) $NH_3>H_2 O>HF$
~~ 5. $PO_4^{3-}$ आयन में $P-O$ जोड़ पर ऑक्सीजन पर आधिकारिक इलेक्ट्रॉन कार्ज
(i) +1
(ii) -1
(iii) -0.75
(iv) +0.75
~~ 6. $NO_3^{-}$ आयन में नाइट्रोजन पर बंध जोड़ों और अकेले इलेक्ट्रॉनों की संख्या
(i) 2,2
(ii) 3,1
(iii) 1,3
(iv) 4,0
~~ 7. निम्नलिखित में से कौनसा प्रजाति चतुरोंजीवी संरचना रखता है?
(i) $BH_4^{-}$
(ii) $NH_2^{-}$
(iii) $CO_3^{2-}$
(iv) $H_3 O^{+}$
~~ 8. निम्नलिखित संरचना में $\pi$ बंध और $\sigma$ बंधों की संख्या
(i) 6,19
(ii) 4,20
(iii) 5,19
(iv) 5,20
~~ 9. निम्नलिखित में से कौनसा मोलेक्यूल/आयन समयोगी इलेक्ट्रॉनों को नहीं रखता है?
(i) $N_2^{+}$
(ii) $O_2$
(iii) $O_2^{2-}$
(iv) $B_2$
~~ 10. निम्नलिखित में से कौनसे मोलेक्यूल/आयन में सभी बंध समान नहीं होती हैं?
(i) $XeF_4$
(ii) $BF_4^{-}$
(iii) $C_2 H_4$
(iv) $SiF_4$
~~ 11. निम्नलिखित में से कौनसे उत्पादों में हाइड्रोजन बंध सबसे मजबूत होगी?
(i) $HCl$
(ii) $H_2 O$
(iii) $HI$
(iv) $H_2 S$
~~ 12. यदि एक तत्व का इलेक्ट्रॉनिक संरचना $1 s^{2} 2 s^{2} 2 p^{6} 3 s^{2} 3 p^{6} 3 d^{2} 4 s^{2}$ है, तो रासायनिक बंध निर्माण में शामिल एकावर्ती इलेक्ट्रॉनों की संख्या क्या होगी?
(i) $3 p^{6}$
(ii) $3 p^{6}, 4 s^{2}$
(iii) $3 p^{6}, 3 d^{2}$
(iv) $3 d^{2}, 4 s^{2}$
~~ 13. निम्नलिखित में से कौनसे कोण $s p^{2}$ हाइब्रिडीकरण को दर्शाता है?
(i) $90^{\circ}$
(ii) $120^{\circ}$
(iii) $180^{\circ}$
(iv) $109^{\circ}$
तीन तत्वों, A, B और C की इलेक्ट्रॉनिक संरचनाओं दिए गए हैं। इन संरचनाओं के आधार पर प्रश्न 14 से 17 का उत्तर दें।
| $A$ | $1 s^{2}$ | $2 s^{2}$ | $2 p^{6}$ | | |
| :— | :— | :— | :— | :— | :— | | $B$ | $1 s^{2}$ | $2 s^{2}$ | $2 p^{6}$ | $3 s^{2}$ | $3 p^{3}$ | | $C$ | $1 s^{2}$ | $2 s^{2}$ | $2 p^{6}$ | $3 s^{2}$ | $3 p^{5}$ |
~~ 14. स्थिर रूप में $\mathbf{A}$ को निम्नलिखित सूत्र द्वारा प्रदर्शित किया जा सकता है:
(i) $A$
(ii) $A_2$
(iii) $A_3$
(iv) $A_4$
~~ 15. स्थिर रूप में $\mathbf{C}$ को निम्नलिखित सूत्र द्वारा प्रदर्शित किया जा सकता है:
(i) $C$
(ii) $C_2$
(iii) $C_3$
(iv) $C_4$
~~ 16. $B$ और $C$ से गठित यौगिक की आण्विक सूत्र होगी
(i) $BC$
(ii) $B_2 C$
(iii) $BC_2$
(iv) $BC_3$
~~ 17. $B$ और $C$ के बीच का बांध इसका होगा
(i) आयनिक
(ii) कोवैलेंट
(iii) हाइड्रोजन
(iv) समन्वय
~~ 18. निम्नलिखित $N_2$ के आण्विक मोलकुल परमाणुओं की ऊर्जा का क्रम सही है कौन सा है?
(i) $\left(\pi 2 p_y\right)<\left(\sigma 2 p_z\right)<\left(\pi^* 2 p_x\right) \approx\left(\pi^* 2 p_y\right)$
(ii) $\left(\pi 2 p_y\right)>\left(\sigma 2 p_z\right)>\left(\pi^* 2 p_x\right) \approx\left(\pi^* 2 p_y\right)$
(iii) $\left(\pi 2 p_y\right)<\left(\sigma 2 p_z\right)>\left(\pi^* 2 p_x\right) \approx\left(\pi^* 2 p_y\right)$
(iv) $\left(\pi 2 p_y\right)>\left(\sigma 2 p_z\right)<\left(\pi^* 2 p_x\right) \approx\left(\pi^* 2 p_y\right)$
~~ 19. निम्नलिखित में से कौन सा कथन आण्विक माध्या सिद्धांत के दृष्टिकोण से सही नहीं है?
(i) $Be_2$ एक स्थायी मोलेक्यूल नहीं है।
(ii) $He_2$ स्थायी नहीं है लेकिन $He_2^{+}$ का अस्तित्व संभव है।
(iii) $N_2$ का बंधन शक्ति द्विसंघीय द्व्यात्मक मोलेक्यूलों में सबसे अधिक है।
(iv) $N_2$ मोलेक्यूल में आण्विक आवरणों की ऊर्जा का क्रम है
$\sigma 2s <\sigma^* 2 s <\sigma 2 p_z<\left(\pi 2 p_x=\pi 2 p_y\right)<\left(\pi^* 2 p_x=\pi^* 2 p_y \right)<\sigma^* 2p_z$
~~ 20. निम्नलिखित विकल्प में से सही बंध क्रम दर्शाता है
(i) $O_2^{-}>O_2>O_2^{+}$
(ii) $O_2^{-}<O_2<O_2^{+}$
(iii) $O_2^{-}>O_2<O_2^{+}$
(iv) $O_2^{-}<O_2>O_2^{+}$
~~ 21. सबसे इलेक्ट्रोनेगेटिव तत्व का बाह्यतम तत्विक कॉन्फिगरेशन है
(i) $2 s^{2} 2 p^{5}$
(ii) $3 s^{2} 3 p^{5}$
(iii) $4 s^{2} 4 p^{5}$
(iv) $5 s^{2} 5 p^{5}$
~~ 22. निम्नलिखित समस्त तत्वों में से सर्वोच्च आईनाइज़ेशन एन्थेल्पी वाला विकल्प है
(i) $[Ne] 3 s^{2} 3 p^{1}$
(ii) $\quad[Ne] 3 s^{2} 3 p^{3}$
(iii) $[Ne] 3 s^{2} 3 p^{2}$
(iv) $[Ar] 3 d^{10} 4 s^{2} 4 p^{3}$
II. मल्टीपल च्वयन प्रश्न (प्रकार-II)
निम्नलिखित प्रश्नों में दो या दो से अधिक विकल्प सही हो सकते हैं।
~~ 23. प्रश्नचिन्हों में से कौन से बॉन्ड आदेश एक ही होंगे?
(i) $CN^{-}$
(ii) $NO^{+}$
(iii) $O_2^{-}$
(iv) $O_2^{2-}$
~~ 24. निम्नलिखित में से कौन से वस्तु सरल सृजन प्राप्त करेंगे
(i) $BeCl_2$
(ii) $NCO^{+}$
(iii) $NO_2$
(iv) $CS_2$
~~ 25. $CO$ निम्नलिखित के समन्पर है
(i) $NO^{+}$
(ii) $N_2$
(iii) $SnCl_2$
(iv) $NO_2^{-}$
~~ 26. निम्नलिखित में से कौन से प्रजाति के कणों का एक ही आकार होता है?
(i) $CO_2$
(ii) $CCl_4$
(iii) $O_3$
(iv) $NO_2^{-}$
~~
27. निम्नलिखित कथनों में से कौन से सही हैं $CO_3^{2-}$ के बारे में?
(i) केंद्रीय परमाणु का विवर्जनीकरण $s p^{3}$ है।
(ii) इसका रेज़ोनेंस संरचना में एक $C-O$ एकल बांध और दो $C=O$ डबल बांध होती है।
(iii) प्रत्येक ऑक्सीजन परमाणु पर औसत आपूर्ति धनात्मक आकर्षण 0.67 इकाइयां हैं।
(iv) सभी $C-O$ बांध लंबाई बराबर होती हैं।
~~ 28. असंवेगीय पदार्थ वे होते हैं जो कोई अपूरक इलेक्ट्रॉन नहीं संयुक्त करते हैं। इनमें से कौन से असंवेगीय हैं?
(i) $N_2$
(ii) $N_2^{2-}$
(iii) $O_2$
(iv) $O_2^{2-}$
~~ 29. समान बांध क्रमबद्ध रखने वाले पदार्थ हैं:
(i) $N_2$
(ii) $N_2^{-}$
(iii) $F_2^{+}$
(iv) $O_2^{-}$
~~ 30. निम्नलिखित कथनों में से कौन से सही नहीं हैं?
(i) थोस अवस्था में $NaCl$ द्वारा एक द्वारक यौगिक बिजली का अच्छा चालक होना।
(ii) कैननिकल संरचनाओं में परमाणुओं के व्यवस्था में अंतर होता है।
(iii) हाइब्रिड विकर्णीकरण पुरे विकर्णीकरणों से मजबूत बांध बनाती हैं।
(iv) VSEPR सिद्धांत $XeF_4$ के वर्गाकार योजना को समझा सकता है।
III. संक्षिप्त उत्तर युक्त
~~ 31. वैलेंस शैली इलेक्ट्रॉन पेयर उत्क्षेपण के सिद्धांत का उपयोग करते हुए, $H_2 S$ की अगणित आकृति और $PCl_3$ की समतल रचना को समझाएं।
~~ 32. आणविक संबंधी विचारों का उपयोग करके, $O_2^{+}$ और $O_2^{-}$ पदार्थ के बांध ऊर्जा और चुंबकीय चरित्र की तुलना करें।
~~ 33. $BrF_5$ की गठन को समझाएं।
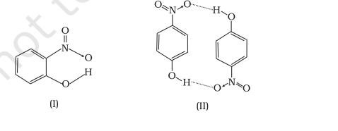
~~ 34. दो यौगिकों के मोलेक्यूलों की संरचनाएं निम्नलिखित हैं:
(a) इन दोनों यौगिकों में कौन सा बीचमोलेकुलर हाइड्रोजन बांधन होगा और कौन सा यौगिक आंतरमोलेकुलर हाइड्रोजन बांधित करेगा।
(b) एक यौगिक के पिघलने का बिंदु, अन्य चीजों में से, हाइड्रोजन बांधन की मात्रा पर निर्भर करता है। इसे आधार पर समझाएं कि उपरोक्त दोनों यौगिकों में से कौन अधिक पिगलने का बिंदु दर्शाएगा।
(c) जल में यौगिकों की विलयनशीलता जल के साथ हाइड्रोजन बांध बनाने की क्षमता पर निर्भर करती है। उपरोक्त दोनों यौगिकों में से कौन से यौगिक जल के साथ हाइड्रोजन बांध आसानी से बनाएंगे और उसमें अधिक विलयनशील होंगे।
~~
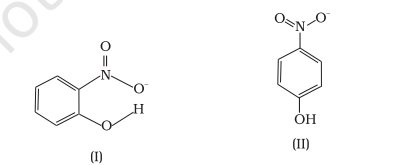
35. निम्न चित्र में दिए गए मिश्रण में आपस में बांधना क्यों नहीं होता है?

~~ 36. समझाएं कि $PCl_5$ त्रिकोणीय दक्षिणवृत्तकार और $IF_5$ वर्गवृत्तकार क्यों है।
~~ 37. जल और डाइमिथाइल ईथर $(CH_3-\ddot{O}-CH_3)$ दोनों में, ऑक्सीजन परमाणु केंद्रीय परमाणु है, और उसका समान विवर्जनीकरण होता है, फिर भी उनके बांध कोणों में अंतर है। उनमें से कौनसा बांध कोण अधिक होता है? कारण दें।
~~ 38. निम्नलिखित यौगिकों का लवियस संरचना लिखें और प्रत्येक परमाणु पर आपूर्ति धनात्मक आकर्षण दिखाएं।
$HNO_3, NO_2, H_2 SO_4$
~~ 39. नाइट्रोजन मोलेक्यूल में $\sigma 2 p_z$ मोलेक्युलर विन्यास का ऊच्चतमान ऊर्जा $\pi 2 p_x$ और $\pi 2 p_y$ मोलेक्युलर विन्यासों से अधिक होता है। मोलेक्यूल में ऊर्जा के सभी स्तरों की पूरी क्रमशः श्रेणी लिखें। निम्नलिखित पदार्थों की तुलना करें: स्थायीता और चुंबकीय व्यवहार।
४०. ‘$एन_२$’, ‘$एन_२^{+}$’, ‘$एन_२^{-}$’, ‘$एन_२^{२+}$’ के उत्पादन के बाद बांध क्रम में क्या प्रभाव होगा?
(i) $एन_२ \rightarrow एन_२^{+}+e^{-}$
(ii) $ओ_२ \rightarrow ओ_२^{+}+e^{-}$
४१. निम्नलिखित के लिए कारण दें:
(i) कोवेलेंट बांध दिशात्मक बांध होते हैं जबकि आयनिक बांध अदिशात्मक होते हैं।
(ii) पानी अणु का मुड़ा हुआ संरचना होता है जबकि कार्बन डाइऑक्साइड अणु रैखिक होता है।
(iii) इथेन मोलेक्यूल रैखिक होती है।
४२. आयनिक बांध क्या है? दो उपयुक्त उदाहरणों की सहायता से आयनिक और सहयोगी बांध में अंतर का स्पष्टीकरण कीजिए।
४३. औद्योगिक वियोजन प्रदर्शित करते हुए निम्नलिखित बांधों को बढ़ते क्रम में आयनिक मात्रा की प्राकृतिकता दीजिए।
$एन-एच, एफ-एच, सी-एच$ और $ओ-एच$
४४. समझाइए कि $सीओ_३^{२-}$ आयन को एकल लुविस संरचना द्वारा प्रदर्शित नहीं किया जा सकता। इसे सबसे अच्छी तरह से कैसे प्रदर्शित किया जा सकता है?
४५. निम्नलिखित ऑर्गेनिक यौगिक के मोलिक्यूल में हर कार्बन के हाइब्रीडीकरण की भविष्यवाणी कीजिए। इस मोलेक्यूल में कुल सिग्मा और पाई बांधों की संख्या भी दर्शाएं।
४६. निम्नलिखित को रैखिक और गैर-रैखिक (नॉन-रैखिक) मोलेक्यूलों के रूप में वर्गीकृत कीजिए:
$एच_२ ओ, होCl, बीeएl_२, क्ल_२ ओ$
४७. $एक्स$, $वाई$ और $जेड$ तत्वों के पास में लगभग $४$, $५$ और $७$ परमाणु इलेक्ट्रॉन हैं। (i) ये तत्व विलम्बित रूप से हाइड्रोजन के साथ प्रत्येक तत्व द्वारा प्रस्तुत किया गया मौलिक सूत्र लिखते हैं। (ii) इन सूत्रों में सबसे अधिक डिपोल-विमान होने वाले ये यौगिक किसे होगा?
४८. निम्नलिखित परमाणुकीस्ट्रुक्चर का रेजोनेटिंग संरचना खींचिए:
(i) ओजोन यौकिक
(ii) नाइट्रेट आयन
४९. हाइब्रीडीकरण के आधार पर निम्नलिखित मोलिक्यूलों की आकारों की भविष्यवाणी कीजिए।
$बीCl_३, च_४, सीओ_२, नीएम_३$
५०. कार्बोनेट आयन $(CO_३^{२-})$ में सभी $सी - ओ$ बांध लंबाई में समान होते हैं। स्पष्ट कीजिए।
५१. सदिश बांध की औसत वंध्यता शब्द से क्या अर्थ होता है? पेनोल $(सी_२ ह५ओ)$ और पानी में $(C_२ ह५ ओ)$ $O-H$ बंध की वंध्यता में अंतर क्यों होता है?
आईवार्ड श्रेणी
५२. निम्नलिखित संपादक में उपयोगित होने वाली प्रजाति की संतुलन ऑर्बिट्रेल्स का मिलान कीजिए:
| COLUMN I | COLUMN II |
|---|---|
| (i) $SF_४$ | (a) $s p^{३} d^{२}$ |
| (ii) $IF_५$ | (b) $d^{२} s p^{३}$ |
| (iii) $NO_२^{+}$ | (c) $s p^{३} d$ |
| (iv) $NH_४^{+}$ | (d) $s p^{३}$ |
| (e) $s p$ |
५३. निम्नलिखित कार्य में उपयोगित होने वाली प्रजाति का मिलान कीजिए:
| COLUMN I | COLUMN II |
|---|---|
| (i) $H_३ ओ^{+}$ | (a) रेखात्मक |
| (ii) $HC \equiv CH$ | (b) द्विधातुक |
| (iii) $ClO_२^{-}$ | (c) चतुर्भुजक |
| (iv) $NH_४^{+}$ | (d) त्रिभुजीय स्थलांकितक |
| (e) तिरंगकारी |
५४. निम्नलिखित प्रजाति का मिलान कीजिए:
| COLUMN I | COLUMN II |
|---|---|
| (i) $NO$ | (a) 1.5 |
| (ii) $CO$ | (b) 2.0 |
| (iii) $O_२^{-}$ | (c) 2.5 |
| (iv) $O_२$ | (d) 3.0 |
५५. निम्नलिखित वस्तुओं का मिलान कीजिए:
| COLUMN I | COLUMN II |
|---|---|
| (i) हाइड्रोजन बांध | (a) $सी$ |
| (ii) रिसोनेंस | (b) $लिएफ$ |
| (iii) आयनिक ठोसापद | (c) $ एच_२$ |
| (iv) सहयोगी ठोसापद | (d) $एच एफ$ |
| (e) $ओ थ्री$ |
५६. निम्नलिखित प्रकार के मोलेक्यूलों का मिलान कीजिए:
| COLUMN I | COLUMN II |
|---|
|(i) चतुर्भुजी |(a) $s p^{2}$| |(ii) त्रिकोणीय |(b) $s p$| |(iii) रेखात्मक |(c) $s p^{3}$|
V. अभिकथन और कारण प्रकार
निम्न प्रश्नों में एक बयान का अभिकथन (A) का बयान दिया जाता है जिसके बाद एक कारण (R) का बयान दिया जाता है। प्रश्न के प्रत्येक अंतर्गत दिए गए विकल्पों में से सही विकल्प चुनें।
~~ 57. अभिकथन (A) : क्लोरीन गैस के प्रभाव से सोडियम धातु पर नाइट्रोजन क्लोराइड बनता है जो एक स्थिर यौगिक है।
कारण (R) : इसलिए कि सोडियम और क्लोराइड आयन सोडियम क्लोराइड गठन में ऑक्टेट प्राप्त करते हैं।
(i) अक्कर्ता और कारण दोनों सही हैं, और कारण अक्कर्ता का सही स्पष्टीकरण है।
(ii) अक्कर्ता और कारण दोनों सही हैं, लेकिन कारण अक्कर्ता का सही स्पष्टीकरण नहीं है।
(iii) अक्कर्ता सत्य है लेकिन कारण झूठ।
(iv) अक्कर्ता और कारण दोनों गलत हैं।
~~ 58. अभिकथन (A) : $NH_3$ और $H_2 O$ मोलेक्यूलों के केंद्रीय धातु में $s p^{3}$ या संकुचित आपूर्ति होती है, फिर भी $H-N-H$ बॉन्ड कोण $H-O-H$ के कोण से अधिक है।
कारण (R) : इसलिए कि नाइट्रोजन अणु में एक अकेला जोड़ और ऑक्सीजन अणु में दो अकेले जोड़ होते हैं।
(i) अक्कर्ता और कारण दोनों सही हैं, और कारण अक्कर्ता का सही स्पष्टीकरण है।
(ii) अक्कर्ता और कारण दोनों सही हैं, लेकिन कारण अक्कर्ता का सही स्पष्टीकरण नहीं है।
(iii) अक्कर्ता सत्य है लेकिन कारण झूठ।
(iv) अक्कर्ता और कारण दोनों गलत हैं।
~~ 59. अभिकथन (A): $H_2 O$ मोलेक्यूल में दो $O-H$ बॉन्ड में पहले $O-H$ बॉन्ड और दूसरा $O-H$ बॉन्ड टूटने के लिए एक ही ऊर्जा आवश्यक होती है।
कारण (R) : यह इसलिए कि ऑक्सीजन के चारों ओर इलेक्ट्रॉनिक वातावरण एक ही होता है, एक $O-H$ बॉन्ड के टूटने के बाद भी।
(i) अक्कर्ता और कारण दोनों सही हैं, और कारण अक्कर्ता का सही स्पष्टीकरण है।
(ii) अक्कर्ता और कारण दोनों सही हैं, लेकिन कारण अक्कर्ता का सही स्पष्टीकरण नहीं है।
(iii) अक्कर्ता सत्य है लेकिन कारण झूठ।
(iv) अक्कर्ता और कारण दोनों गलत हैं.
VI. लॉन्ग आंसर प्रकार
~~ 60. (i) आधारभूत मोमेंट के महत्व/ अपनानों की चर्चा करें।
(ii) $CO_2, NF_3$ और $CHCl_3$ में बांधन अंतर और परिणामी विक्षेप को आरेखणात्मक रूप से प्रस्तुत करें।
~~ 61. आणविक मोमेंट कसरत के स्तर विंयास योजना का उपयोग करके दिखाएं कि $N_2$ में तीन बॉन्ड की आशंका होगी, $F_2$ में एकल बॉन्ड होगी और $Ne_2$ में कोई बॉन्ड नहीं होगा।
~~ 62. हाइड्रोजन के उदाहरण की वालेंस बॉन्ड सिद्धांत की क्रोशित व्यंग्य कीजिए। डाईहाइड्रोजन का गठन हो रहा हो तो उसमें होने वाले ऊर्जा परिवर्तनों का आप किस तरह व्याख्या कर सकते हैं?
~~ 63. $PCl_5$ और $SF_6$ के मामले में हाइब्रिडीकरण का व्याख्यात्मक रूप से वर्णन करें। $PCl_5$ में अक्षीय बॉन्ड समान से कायामय होते हैं जबकि $SF_6$ में अक्षीय बॉन्ड और पृष्ठीय बॉन्ड एक ही बॉन्ड लंबाई होती है। व्याख्या कीजिये।
~~ 64. (i) हाइब्रिडीकरण की अवधारणा पर चर्चा कीजिए। कार्बन परमाणु में इसके विभिन्न प्रकार क्या होते हैं। (ii) तार से चिह्नित कार्बन अणु का हाइब्रिडीकरण कौन सा होना है।
(d) $\stackrel{*}{C} H_3-CH=CH-CH_3$
(e) $CH_3-\stackrel{*}{C} \equiv CH$
इसके पश्चाति दिए गए अभिप्रश्न कई विकल्पों में से एक सही विकल्प है। सही विकल्प चुनें।
आयतनिक ऑर्बिटल के आवर्धन द्वारा आयामिक ऑर्बिटल बनाए जाते हैं। दो आयामिक ऑर्बिटल जोड़ कर दो आयामिक आयामिक ऑर्बिटल बनाएं, जिन्हें बांधन आयामिक आयामिक (बीएमओ) और विपरीत बांधन आयामिक आयामिक (एबीएमओ) कहा जाता है। विपरीत बांधन ऑर्बिटल की ऊंचाई मातृ आयामिक ऑर्बिटलों से ऊपर उठती है जो जोड़ी है और बांधन ऑर्बिटल की ऊंचाई मातृ आयामिक ऑर्बिटलों से कम होती है। हाइड्रोजन से नाइट्रोजन तक तत्वों के विभिन्न आयामिक ऑर्बिटलों की ऊर्जा इस क्रम में बढ़ती है: $\sigma 1=\sigma^* 1 \sigma 2=\sigma^* 2 \mathrm{~s} \approx \pi 2 p_x \approx \pi 2 p_y \sigma 2 p_z \approx \pi^* 2 p_x \approx \pi^* 2 p_y \sigma^* 2 p_z$ और ऑक्सीजन और फ्लोरीन के लिए आयामिक ऑर्बिटलों की ऊर्जा क्रम दिया गया है: $\sigma 1 \sigma^* 1 \sigma 2 \sigma^* 2 \sigma 2 p_{\mathrm{z}} \pi 2 p_x \simeq \pi 2 p_y \pi^* 2 p_x \simeq \pi^* 2 p_y \sigma^* 2 p_z$ दो आयामिक ऑर्बिटल जिन्हें एक आयामिक ऑर्बिटल के अतिरिक्त ऊर्जा और उच्च संरेखण होने की उम्मीद होती है, वे एक आयामिक ऑर्बिटलों के साथ जोड़ी हुई सिद्धान्त वाली आयामिक ऑर्बिटल बनाते हैं। और यदि संरेखण सिर पर होता है, तो आयामिक ऑर्बिटल ‘सिगमा’ ($\sigma$) कहलाती है और यदि संरेखण पारस्परिक है, तो आयामिक ऑर्बिटल ‘पी’ ($\pi$) कहलाती है। आयामिक ऑर्बिटलों को इलेक्ट्रॉनों से वही नियमों के अनुसार भरा जाता है जो आयामिक ऑर्बिटलों को भरने के लिए पालन किए जाते हैं। हालांकि, सभी मोलेक्यूलों या उनके आयनों के लिए यह भरने का क्रम सामान्य नहीं होता है। बांधक आदेश बांध ताकत की तुलना करने के लिए सबसे महत्वपूर्ण पैरामीटर में से एक है।
~~ 65. निम्नलिखित कथनों में से कौन सा सही है?
(i) द्विऑक्सीजन के निर्माण में ऑक्सीजन परमाणु से 10 आयामिक ऑर्बिटल बनेंगे।
(ii) द्विऑक्सीजन में सभी आयामिक ऑर्बिटल पूरी तरह से भरे जाएंगे।
(iii) द्विऑक्सीजन में बांधन आयामिक ऑर्बिटलों की कुल संख्या विपरीत बांधनीय ऑर्बिटलों की कुल संख्या से अलग होगी।
(iv) पूरी संख्याएं भरे बांधन आयामिक ऑर्बिटलों की कुल संख्या भरे गए विपरीत बांधनीय ऑर्बिटलों की कुल संख्या के बराबर होगी।
~~ 66. निम्नलिखित में से कौन सा आयामिक ऑर्बिटल नोडलत तारों की अधिकतम संख्या वाला है?
(i) $\sigma^{*} 1 s$
(ii) $\sigma^{*} 2 p_z$
(iii) $\pi 2 p_x$
(iv) $\pi^{*} 2 p_y$
~~ 67. निम्नलिखित के पेयर में से कौन सा समान बांधक क्रम होने की उम्मीद की जा सकती है?
(i) $O_2, N_2$
(ii) $O_2^{+}, N_2^{-}$
(iii) $O_2^{-}, N_2^{+}$
(iv) $O_2^{-}, N_2^{-}$
~~ 68. निम्नलिखित में से कौन सा मोलेक्यूल, $\sigma 2 \mathrm{~p_z}$ आयामिक ऑर्बिटल $\pi 2 \mathrm{~p_x}$ और $\pi 2 \mathrm{~p_y}$ आयामिक ऑर्बिटल के बाद भरा जाता है?
(i) $O_2$
(ii) $Ne_2$
(iii) $N_2$
(iv) $F_2$
उत्तर
I. बहुविकल्पी प्रश्न (प्रकार - I)
~~ 1. (ii)
~~ 2.(iii)
~~ 3. (ii)
~~ 4. (ii)
~~ 5. (ii)
~~ 6. (iv)
~~ 7. (i)
~~ 8. (iii)
~~ 9. (iii)
~~ 10. (iii)
~~ 11. (ii)
~~ 12. (iv)
~~ 13. (ii)
~~ 14. (i)
~~ 15. (ii)
~~ 16. (iv)
~~ 17. (ii)
~~ 18. (i)
~~ 19. (iv)
~~ 20. (ii)
~~ 21. (i)
~~ 22. (ii)
II. मल्टीपल चॉइस प्रश्न (प्रकार-II)
~~ 23. (i), (ii)
~~ 24. (i), (iv)
~~ 25. (i), (ii)
~~ 26. (iii), (iv)
~~ 27. (iii), (iv)
~~ 28. (i), (iv)
~~ 29. (iii), (iv)
~~ 30. (i), (ii)
III. लघु उत्तर प्रकार
~~ 32. (i) आणविक ऑर्बिटल सिद्धांतानुसार $O_2^{+}$ आणि $O_2^{-}$ प्रजात्यांची इलेक्ट्रॉनिक संरचना खालीलप्रमाणे आहे :
$ \mathrm{O}_2^{+}:(\sigma 1 \mathrm{~s})^2\left(\dot{\sigma} 1 \mathrm{~s}^2\right)(\sigma 2 \mathrm{~s})^2\left(\dot{\sigma}^2 2 \mathrm{~s}^2\right)\left(\sigma 2 p_x\right)^2\left(\pi 2 p_x^2, \pi 2 p_y^2\right)\left(\pi^* 2 p_x^1\right) $
$ \mathrm{O}_2^{-}:(\sigma 1 \mathrm{~s})^2\left(\dot{\sigma}^2 1 \mathrm{~s}^2\right)(\sigma 2 \mathrm{~s})^2\left(\dot{\circ} 2 \mathrm{~s}^2\right)\left(\sigma 2 p_z\right)^2\left(\pi 2 p_x^2, \pi 2 p_y^2\right)\left(\pi^* 2 p_x^2, \pi^* 2 p_y^1\right)$
$ \text{ अर्धबंधाचा क्रम } O_2^{+}=\frac{10-5}{2}=\frac{5}{2}=2.5 $
$ \text{ अर्धबंधाचा क्रम } O_2^{-}=\frac{10-7}{2}=\frac{3}{2}=1.5$
$O_2^{+}$ ची मोठी बंधाची क्रम त्याचा $O_2^{-}$ पेक्षा स्थिर असे दर्शविलेले आहे. दोन्ही प्रजातींनी अपेक्षाशीर्षक इलेक्ट्रॉन्स असतात. म्हणजे दोन्हीही पॅरामॅग्नेटिक आहेत.
~~ 34. (a) घटक (I) इंट्रामोलेक्युलर हायड्रोजन बंध बनवेल कारण $NO_2$ आणि $OH$ समूह त्या प्रमाणे एकत्र आहेत जिथे किंवा त्यापेक्षा घटक (II) मध्येही अधिक गरमता बिंदू आहे.
(b) घटक (II) आवश्यकतेप्रमाणे अधिक गाळतो. कारण तो इंटरमोलेक्युलर हायड्रोजन बंध बनवतो. म्हणजे, अधिक आणि अधिक कोणसारख्या मोजें एकत्र होतात, हायड्रोजन बंध शक्यतोपयोग बनवतात.
(c) इंट्रामोलेक्युलर हायड्रोजन बंध ने कारणे घटक (I) पाण्याशी हायड्रोजन बंध बनवू शकेल ज्यामुळे तो ते पाण्यात तथाकथित प्रमाणे एकत्रीकरण न करता तसेच पाण्यात सोडवू शकेल. परिपूर्ण प्रमाणे घटक (II) पाण्याशी हायड्रोजन बंध बनवू शकेल ज्यामुळे तो पाण्यात सोडवून पाण्यात एकत्र होण्यासाठी सोपे आहे.
~~ 37. [सूचना: डायमिथाइल ईथरमध्ये बंध कोणासाठी मोठा असतो. ईथरमधील $CH_3$ गटांच्या बंधांमध्ये अधिक प्रतिघात असतो तर $H$ प्रमाणे ऑक्सीजनशी जोडलेल्या बंधांमध्ये प्रतिघात कमीचं असतं. ईथरमधील $CH_3$ चा कार्बन समुपस्थित तीन हायड्रोजन अॅटॉमशी मध्ये $\sigma$ बंधांमधील इलेक्ट्रॉनांची वापरी देणे कार्बन अॅटॉमवरील प्रमाणित विद्युत चार्ज घनत्वाला जोडतात. म्हणजे, डायमिथाइल ईथरामध्ये दोन $-CH_3$ गटांमध्ये वापरिलेली दोन्ही अंतर हायड्रोजन वापरिलेल्या ऑक्सीजनशीचं प्रमांड दोन्हीही हायड्रोजन अॅटॉमांमध्ये किंवा हायड्रोजन अॅटॉमांमध्ये प्रतिक्रियेने जास्त प्रतिघात होईल.]
IV. मॅचिंग प्रकार
~~ 52. (i) $\to$ (c) $\quad$ (ii) $\to$ (a) $\quad$ (iii) $\to$ (e) $\quad$ (iv) $\to$ (d)
~~ 53. (i) $\to$ (e) $\quad$ (ii) $\to$ (a) $\quad$ (iii) $\to$ (b) $\quad$ (iv) $\to$ (c)
~~ 54. (i) $\to$ (c) $\quad$ (ii) $\to$ (d) $\quad$ (iii) $\to$ (a) $\quad$ (iv) $\to$ (b)
~~ 55. (i) $\to$ (d) $\quad$ (ii) $\to$ (e) $\quad$ (iii) $\to$ (b) $\quad$ (iv) $\to$ (a)
~~ 56. (i) $\to$ (c) $\quad$ (ii) $\to$ (a) $\quad$ (iii) $\to$ (b)
V. वाद-तत्त्व आणि कारण प्रकार
~~ 57. (i)
~~ 58. (i)
~~ 59. (iv)
~~ 65. (i)
~~ 66. (ii)
~~ 67. (ii)
~~ 68. (iii)





