Alcohols and Ethers - Result Question 5
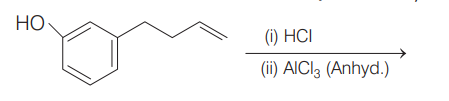
8. The major product of the following reaction is
(2019 Main, 11 Jan II)
Show Answer
Answer:
Correct Answer: 8. (a)
Solution:
- In the given reaction, $AlCl _3$ helps in the generation of electrophile that further undergoes $\operatorname{ArS} _E 2$ reaction to give the required product.





