Aldehydes and Ketones - Result Question 20

20.

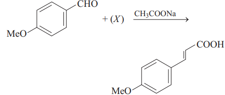
alt text

What is $X$ ?

(a) $CH _3 COOH$

(b) $BrCH _2 COOH$

(c) $\left(CH _3 CO\right) _2 O$

(d) $HOC-COOH$

Show Answer

Answer:

Correct Answer: 20. (c)

Solution:

  1. $X$ is $\left(CH_3CO\right)_2O$ and it is an example of a acetylation reaction.


Table of Contents

sathee Ask SATHEE

Welcome to SATHEE !
Select from 'Menu' to explore our services, or ask SATHEE to get started. Let's embark on this journey of growth together! 🌐📚🚀🎓

I'm relatively new and can sometimes make mistakes.
If you notice any error, such as an incorrect solution, please use the thumbs down icon to aid my learning.
To begin your journey now, click on

Please select your preferred language
कृपया अपनी पसंदीदा भाषा चुनें