Aldehydes and Ketones - Result Question 32
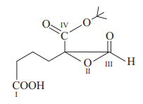
33. Reagent(s) which can be used to bring about the following transformation is (are)
(2016 Adv.)
(a) $LiAlH _4$ in $\left(C _2 H _5\right) _2 O$
(b) $BH _3$ in THF
(c) $NaBH _4$ in $C _2 H _5 OH$
(d) Raney $Ni / H _2$ in $THF$
Show Answer
Answer:
Correct Answer: 33. (c)
Solution:
- Only $-CHO$ group is to be reduced to $-CH _2 OH$.
It can be done using $NaBH _4$ in $C _2 H _5 OH$.
(a) $LiAlH _4 /\left(C _2 H _5\right) _2 O$ reduces I, II and III into $-CH _2 OH$, and IV into diol.
(b) $BH _3 /$ THF show same properties as (a).
(c) $NaBH _4 / C _2 H _5 OH$ reduces III into $-CH _2 OH$.
(d) Raney nickel, same as (a) and (b), thus (c) is correct reagent.





