Aldehydes and Ketones - Result Question 5
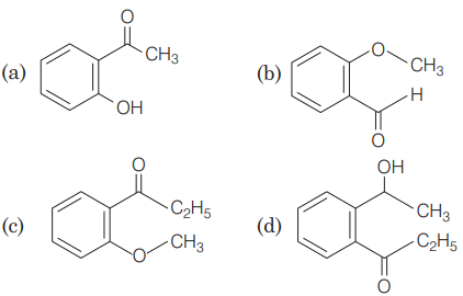
5. An organic compound neither reacts with neutral ferric chloride solution nor with Fehling solution. It however, reacts with Grignard reagent and gives positive iodoform test. The compound is
(2019 Main, 8 April I)
Show Answer
Answer:
Correct Answer: 5. (d)
Solution:
- According to the given conditions, compound (d) neither reacts with neutral ferric chloride solution nor with Fehling solution. It however reacts with Grignard reagent and gives positive iodoform test.
- As the compound does not contain any phenolic $-OH$ group. Hence, it gives negative neutral $FeCl _3$ test.

- Compound gives reaction with $R \operatorname{Mg} X$ as it contains ${ } _O^{C}-Et$





