- Aldehydes and Ketones - Result Question 1
- Aldehydes and Ketones - Result Question 2
- Aldehydes and Ketones - Result Question 3
- Aldehydes and Ketones - Result Question 4
- Aldehydes and Ketones - Result Question 5
- Aldehydes And Ketones Result Question 29
- Aldehydes and Ketones - Result Question 6
- Aldehydes and Ketones - Result Question 7
- Aldehydes and Ketones - Result Question 8
- Aldehydes And Ketones Result Question 44
- Aldehydes And Ketones Result Question 45
- Aldehydes and Ketones - Result Question 9
- Aldehydes And Ketones Result Question 46
- Aldehydes And Ketones Result Question 47
- Aldehydes And Ketones Result Question 48
- Aldehydes And Ketones Result Question 49
- Aldehydes And Ketones Result Question 50
- Aldehydes and Ketones - Result Question 10
- Aldehydes And Ketones Result Question 51
- Aldehydes And Ketones Result Question 52
- Aldehydes and Ketones - Result Question 11
- Aldehydes and Ketones - Result Question 12
- Aldehydes and Ketones - Result Question 13
- Aldehydes and Ketones - Result Question 14
- Aldehydes And Ketones Result Question 73
- Aldehydes and Ketones - Result Question 15
- Aldehydes and Ketones - Result Question 16
- Aldehydes and Ketones - Result Question 17
- Aldehydes and Ketones - Result Question 18
- Aldehydes and Ketones - Result Question 19
- Aldehydes and Ketones - Result Question 20
- Aldehydes and Ketones - Result Question 21
- Aldehydes and Ketones - Result Question 22
- Aldehydes and Ketones - Result Question 23
- Aldehydes and Ketones - Result Question 24
- Aldehydes and Ketones - Result Question 25
- Aldehydes and Ketones - Result Question 26
- Aldehydes and Ketones - Result Question 27
- Aldehydes and Ketones - Result Question 28
- Aldehydes and Ketones - Result Question 29
- Aldehydes and Ketones - Result Question 30
- Aldehydes and Ketones - Result Question 31
- Aldehydes and Ketones - Result Question 32
- Aldehydes and Ketones - Result Question 33
- Aldehydes and Ketones - Result Question 34
- Aldehydes and Ketones - Result Question 35
- Aldehydes and Ketones - Result Question 36
- Aldehydes and Ketones - Result Question 37
- Aldehydes and Ketones - Result Question 38
- Aldehydes and Ketones - Result Question 39
- Aldehydes and Ketones - Result Question 40
- Aldehydes and Ketones - Result Question 41
- Aldehydes and Ketones - Result Question 42
- Aldehydes and Ketones - Result Question 43
- Aldehydes and Ketones - Result Question 44
- Aldehydes and Ketones - Result Question 45
- Aldehydes and Ketones - Result Question 46
- Aldehydes and Ketones - Result Question 47
- Aldehydes and Ketones - Result Question 48
- Aldehydes and Ketones - Result Question 49
- Aldehydes and Ketones - Result Question 50
- Aldehydes and Ketones - Result Question 51
- Aldehydes and Ketones - Result Question 52
- Aldehydes and Ketones - Result Question 53
- Aldehydes and Ketones - Result Question 54
- Aldehydes and Ketones - Result Question 55
- Aldehydes and Ketones - Result Question 56
- Aldehydes and Ketones - Result Question 57
- Aldehydes and Ketones - Result Question 58
- Aldehydes and Ketones - Result Question 59
- Aldehydes and Ketones - Result Question 60
- Aldehydes and Ketones - Result Question 61
- Aldehydes and Ketones - Result Question 62
- Aldehydes and Ketones - Result Question 63
- Aldehydes and Ketones - Result Question 64
- Aldehydes and Ketones - Result Question 65
- Aldehydes and Ketones - Result Question 66
- Aldehydes and Ketones - Result Question 67
- Aldehydes and Ketones - Result Question 68
- Aldehydes and Ketones - Result Question 69
- Aldehydes and Ketones - Result Question 70
- Aldehydes and Ketones - Result Question 71
- Aldehydes and Ketones - Result Question 72
- Aldehydes and Ketones - Result Question 73
- Aldehydes and Ketones - Result Question 74
- Aldehydes and Ketones - Result Question 75
- Aldehydes and Ketones - Result Question 76
- Aldehydes and Ketones - Result Question 77
- Aldehydes and Ketones - Result Question 78
Aldehydes and Ketones - Result Question 6
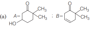
6. In the following reactions, products $A$ and $B$ are
(2019 Main, 12 Jan I)
Show Answer
Answer:
Correct Answer: 6. ( b )
Solution:
- The reactant in presence of dil $\cdot NaOH$ undergoes intramolecular aldol condensation reaction.
As a result of this, $\beta$-hydroxyketone $(A)$ is obtained which on hydrolysis followed by heating produces $\alpha, \beta$-unsaturated ketone (B)






