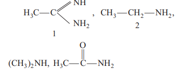
Aliphatic Compounds Containing Nitrogen - Result Question 22
23. The correct order of basicities of the following compounds is
(a) $2 > 1 > 3 > 4$
(b) $1 > 3 > 2 > 4$
(c) $3 > 1 > 2 > 4$
(d) $1 > 2 > 3 > 4$
Show Answer
Answer:
Correct Answer: 23. (b)
Solution:
$4$ , (acetamide) is least basic because lone pair of nitrogen is involved in delocalisation.
‘$1$’ is most basic due to formation of resonance stabilised conjugate acid.
$3$ (secondary amine) is stronger base than $2$ (primary amine).
Hence, overall order of basic strength is :
$1 > 3 > 2 > 4$





