Aliphatic Compounds Containing Nitrogen - Result Question 41
Passage Based Questions
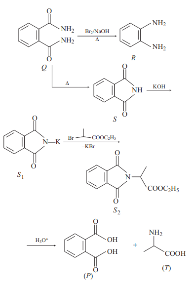
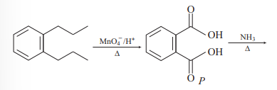
Treatment of compound $O$ with $\mathrm{KMnO}_4 / \mathrm{H}^{+}$ gave $P$, which on heating with ammonia gave $Q$. The compound $Q$ on treatment with $\mathrm{Br}_2 / \mathrm{NaOH}$ produced $R$. On strong heating, $Q$ gave $S$, which on further treatment with ethyl $2$-bromopropanoate in the presence of $KOH$ followed by acidification, gave a compound $T .4$
( 2016 Adv )

43. The compound $T$ is
(a) glycine
(b) alanine
(c) valine
(d) serine
Show Answer
Answer:
Correct Answer: 43. (b)
Solution:
Explanation





