Alkyl Halides - Result Question 1
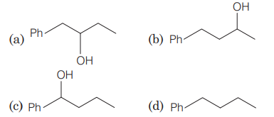
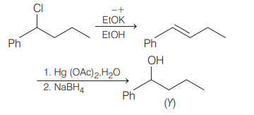
1. Heating of $2$ -chloro-$1$-phenyl butane with $EtOK / EtOH$ gives $X$ as the major product. Reaction of $X$ with $Hg(OAc) _2 / H _2 O$ followed by $NaBH _4$ gives $Y$ as the major product. $Y$ is
(2019 Main, 12 April II)
Show Answer
Answer:
Correct Answer: 1. (c)
Solution:
- Heating of $2$-chloro-$1$-phenylbutane with EtOK/EtOH gives $1$ -phenyl but-$1$-ene $(X)$.
Reaction of $X$ with $Hg(OAc) _2 / H _2 O$ followed by $NaBH _4$ gives $1$-phenyl butan-$1$-ol ( $Y$ ).
Reaction involved is as follows:
Mechanism





