Alkyl Halides - Result Question 15
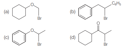
15. Which of the following, upon treatment with tert-BuONa followed by addition of bromine water, fails to decolourise the colour of bromine?
(2017 Main)
Show Answer
Answer:
Correct Answer: 15. (a)
Solution:
- To show decolourisation, compound must be unsaturated.





