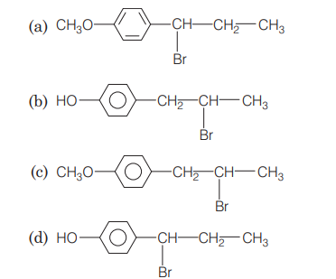
Alkyl Halides - Result Question 7
7. The major product in the following conversion is

(2019 Main, 12 Jan II)
Show Answer
Answer:
Correct Answer: 7. (d)
Solution:
- Key Idea: The excess of $HBr$ and high temperature in given reaction serves for dual purpose:
(i) Hydrolysis of ether via $S _N 2$ mechanism, i.e. Zeisel’s method.
(ii) Markownikoff addition at double bond of the branch.
The road map of complete reaction is as follows:

Here, $BB=$ Bond breakage
$BF=$ Bond formation





