Aromatic Aldehydes Ketones and Acids - Result Question 1
1. The major products of the following reaction are
(2019 Main, 12 April I)
Show Answer
Answer:
Correct Answer: 1. (d)
Solution:
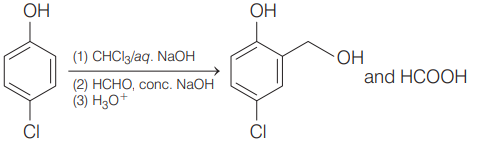
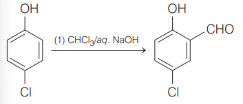
- The major products of the given reaction are as follows:
In step-I, substituted phenol undergoes Reimer-Tiemann reaction in presence of $\mathrm{CHCl}_3 /$ aq. NaOH
The aldehyde obtained in above equation does not possess $\alpha$-hydrogen. In presence of formaldehyde and conc. $NaOH$ it undergoes Cannizaro reaction. In this reaction, one molecule of aldehyde is reduced to alcohol while another molecule is oxidised to salt of carboxylic acid.
Upon hydrolysis, following reaction takes place






