Aromatic Aldehydes Ketones and Acids - Result Question 2
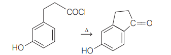
2. The major product of the following reaction is
(2019 Main, 12 April I)

(a)

(b)

(c)

(d)
Show Answer
Answer:
Correct Answer: 2. (b)
Solution:
- The major product formed in the reaction is as follows :
Primary alcohol readily oxidised to corresponding carboxylic acid with oxidising agent, chromium trioxide $\left(\mathrm{CrO}_3\right)$ in acidic medium.
$-OH$ group of carboxylic acid get substituted by $-Cl$ in presence of $\mathrm{SOCl}_2$ (Thionyl chloride).
Further, heating of product leads to intramolecular cyclisation.





