Aromatic Aldehydes Ketones and Acids - Result Question 23
Passage
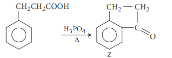
Treatment of benzene with $\mathrm{CO} / \mathrm{HCl}$ in the presence of anhydrous $\mathrm{AlCl}_3 / \mathrm{CuCl}$ followed by reaction with $\mathrm{Ac}_2 \mathrm{O} / \mathrm{NaOAc}$ gives compound $X$ as the major product. Compound $X$ upon reaction with $\mathrm{Br}_2 / \mathrm{Na}_2 \mathrm{CO}_3$ followed by heating at $473$ K with moist KOH furnishes $Y$ as the major product. Reaction of $X$ with $\mathrm{H}_2 / \mathrm{Pd}-\mathrm{C}$, followed by $\mathrm{H}_3 \mathrm{PO}_4$ treatment gives $Z$ as the major product.
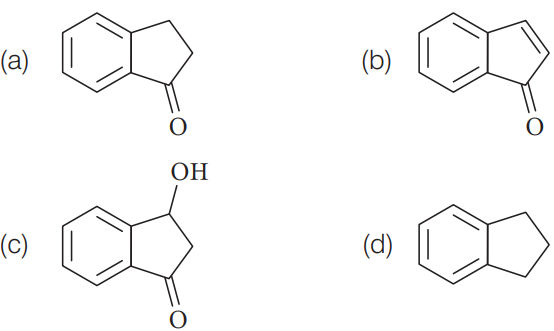
27. The compound $Z$ is
Show Answer
Answer:
Correct Answer: 27. (a)
Solution:
- Reaction 5 The Perkin condensation product $X$ is
This compound on hydrogenation with $H _2$ in the presence of $Pd$ activated with charcoal $(Pd-C)$ gives
Reaction 6 The product of reaction 5 on heating with $H _3 PO _4$ dehydrates to give





