Aromatic Aldehydes Ketones and Acids - Result Question 28
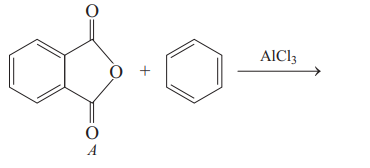
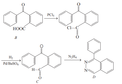
35. An organic compound $A, C _8 H _4 O _3$, in dry benzene in the presence of anhydrous $AlCl _3$ gives compound $B$. The compound $B$ on treatment with $PCl _5$, followed by reaction with $H _2 / Pd /\left(BaSO _4\right)$ gives compound $C$, which on reaction with hydrazine gives a cyclised compound $D\left(C _{14} H _{10} N _2\right)$. Identify $A, B, C$ and $D$. Explain the formation of $D$ from $C$.
$(2000,5 M)$





