Aromatic Compounds Containing Nitrogen - Result Question 11
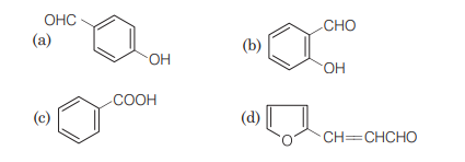
11. An aromatic compound ’ $A$ ’ having molecular formula $C _7 H _6 O _2$ on treating with aqueous ammonia and heating forms compound ’ $B$ ‘. The compound ’ $B$ ’ on reaction with molecular bromine and potassium hydroxide provides compound ’ $C$ ’ having molecular formula $C _6 H _7 N$. The structure of ’ $A$ ’ is $\quad$
(2019 Main, 10 Jan II)
Show Answer
Answer:
Correct Answer: 11. (c)
Solution:
- Using retro-synthesis, to get the required compounds, $A, B$ and C.





