Aromatic Compounds Containing Nitrogen - Result Question 17
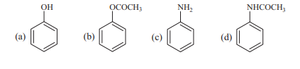
17. Which of the following compounds will give significant amount of meta-product during mononitration reaction?
(2017 Main)
Show Answer
Answer:
Correct Answer: 17. (c)
Solution:
- Aniline in presence of nitrating mixture (conc. $HNO _3+$ conc. $H _2 SO _4$ ) gives significance amount $(\approx 47 \text{\%})$ of meta-product because in presence of $H _2 SO _4$ its protonation takes place and anilinium ion is formed.
Here, anilinium ion is strongly deactivating group and meta-directing in nature. So, it gives meta-nitration product.





