Aromatic Compounds Containing Nitrogen - Result Question 25
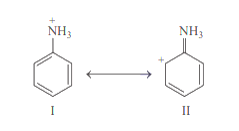
26. Examine the following two structures of anilinium ion and choose the correct statement from the ones given below :
$(1993,1 M)$
(a) II is not an acceptable canonical structure because carbonium ions are less stable than ammonium ions
(b) II is not an acceptable canonical structure because it is non-aromatic
(c) II is not an acceptable canonical structure because the nitrogen has 10 valence electrons
(d) II is an acceptable canonical structure
Show Answer
Answer:
Correct Answer: 26. (c)
Solution:
- In structure II, nitrogen is associated with five bonds and 10 valence electrons, hence not acceptable.





