Aromatic Compounds Containing Nitrogen - Result Question 4
4. Aniline dissolved in dil. $HCl$ is reacted with sodium nitrite at $0^{\circ} C$. This solution was added dropwise to a solution containing equimolar mixture of aniline and phenol in dil. $HCl$. The structure of the major product is
(2019 Main, 9 April I)
Show Answer
Answer:
Correct Answer: 4. (a)
Solution:
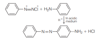
Major product of the reaction is
It is obtained by coupling reaction. Reaction of aniline with dil. HCl and sodium nitrite at $0^{\circ} \mathrm{C}$ is shown below :
Diazonium salt formed when added to equimolar mixture of aniline and phenol in dil. HCl then aniline couples with diazonium salt. Reaction is as follows :
For an effective coupling, the solution must be so alkaline that the concentration of diazonium ion is too low. It must not be so acidic that the concentration of free amine or phenoxide ion is too low. That is why amines couple fastest in mild acidic solution and phenols couple fastest in mild alkaline solution.





