Aromatic Compounds Containing Nitrogen - Result Question 5
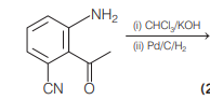
5. The major product obtained in the following reaction is
(2019 Main, 8 April II)
Show Answer
Answer:
Correct Answer: 5. (d)
Solution:
In step (i), $1^{\circ}$ amine is converted into isocyanide, when reacts with $CHCl _3 / KOH$. This reaction is known as carbylamine reaction. This reaction is used to detect primary amine in a compound.
In step (ii), isocyanide is reduced to secondary amine and cyanide is reduced to primary amine, and carbonyl group to alcoholic group when treated with $Pd / C / H _2$.





