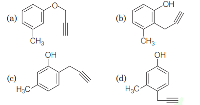
Aryl Halides And Phenols Result Question 1
1. What will be the major product when $m$-cresol is reacted with propargyl bromide $\left(\mathrm{HC} \equiv \mathrm{C}-\mathrm{CH} _2 \mathrm{Br}\right)$ in presence of $\mathrm{K} _2 \mathrm{CO} _3$ in acetone?
(2019 Main, 12 April II)
Show Answer
Answer:
Correct Answer: 1. ( a )
Solution:
The major product when $m$-cresol reacts with propargyl bromide $\left(\mathrm{HC} \equiv \mathrm{C}-\mathrm{CH} _2 \mathrm{Br}\right)$ in presence of $\mathrm{K} _2 \mathrm{CO} _3$ in acetone is given in the following reaction:
In step 1 $\mathrm{~K} _2 \mathrm{CO} _3$ act as a base and abstract $\mathrm{H}$-atom from $-\mathrm{OH}$ group. This leads to the formation of substituted phenoxide ion (highly stable).
In step 2 substituted phenoxide ion on reaction with $\mathrm{Br}-\mathrm{CH} _2-\mathrm{C} \equiv \mathrm{CH}$ gives the required product.





