Aryl Halides And Phenols Result Question 12
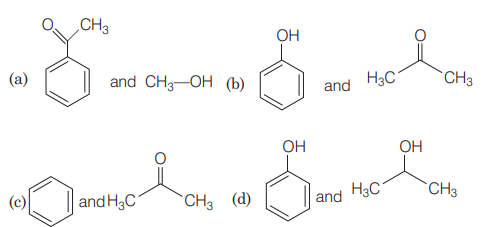
12. The products formed in the reaction of cumene with $\mathrm{O} _2$ followed by treatment with dil. $\mathrm{HCl}$ are
(2019 Main, 9 Jan II)
Show Answer
Answer:
Correct Answer: 12. ( b )
Solution:
The given process is cumene process (Hock process) to synthesise phenol and acetone industrially.
In Hock $p$ rocess, $\mathrm{Ph} -$ group migrate and release $\mathrm{H} _2 \mathrm{O}$.





