Aryl Halides and Phenols - Result Question 12
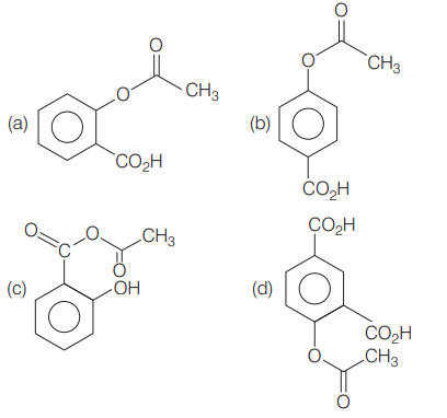
15. Phenol on treatment with $CO _2$ in the presence of $NaOH$ followed by acidification produces compound $X$ as the major product. $X$ on treatment with $\left(CH _3 CO\right) _2 O$ in the presence of catalytic amount of $H _2 SO _4$ produces:
(2018 Main)
Show Answer
Answer:
Correct Answer: 15. (a)
Solution:
The very first reaction in the above road map looks like Kolbe’s reaction which results to salicylic acid as
The salicylic acid with acetic anhydride $\left[\left(CH _3 CO\right) _2 O\right]$ in the presence of catalytic amount of conc. $H _2 SO _4$ undergoes acylation to produce aspirin as
Aspirin is a non-narcotic analgesic (Pain killer).





