Aryl Halides and Phenols - Result Question 2
3. $p$-hydroxybenzophenone upon reaction with bromine in carbon tetrachloride gives
(2019 Main, 9 April II)
Show Answer
Answer:
Correct Answer: 3. (c)
Solution:
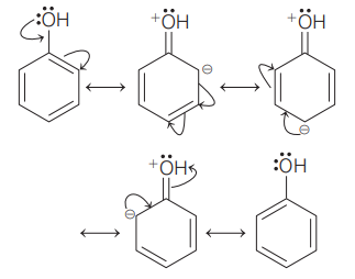
$p$-hydroxy benzophenone upon reaction with bromine in carbon tetrachloride gives $3$-bromo-$4$-hydroxy benzophenone.
$-OH$ group attached on the benzene ring direct the incoming group at ortho and para-positions due to increase in electron density at $o$ and $p$-positions. $- OH$ group also exhibit $-I$ group that reduces the electron density to some extent at $o$ and $p$-positions. But overall electron density increases at these positions of the ring due to resonance. Hence, attack of $-Br$ occur at ortho position. Resonating structures are as follows:





