Aryl Halides and Phenols - Result Question 20-1

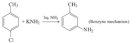
20. In the reaction of $p$-chlorotoluene with $\mathrm{KNH}_2$ in liq. $\mathrm{NH}_3$, the major product is

(1997, 1M)

(a) $o$-toluidine

(b) $m$-toluidine

(c) $p$-toluidine

(d) $p$-chloroaniline

Show Answer

Answer:

Correct Answer: 20. (b)

Solution:

alt text



sathee Ask SATHEE

Welcome to SATHEE !
Select from 'Menu' to explore our services, or ask SATHEE to get started. Let's embark on this journey of growth together! 🌐📚🚀🎓

I'm relatively new and can sometimes make mistakes.
If you notice any error, such as an incorrect solution, please use the thumbs down icon to aid my learning.
To begin your journey now, click on

Please select your preferred language
कृपया अपनी पसंदीदा भाषा चुनें