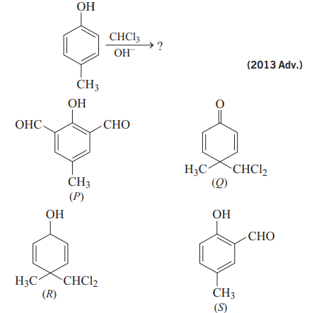
Aryl Halides and Phenols - Result Question 22
25. In the following reaction, the product (s) formed is/are
(a) $P$ (major)
(b) $Q$ (minor)
(c) $R$ (minor)
(d) $S$ (major)
Show Answer
Answer:
Correct Answer: 25. (b,d)
Solution:
PLAN: Phenolic compounds in alkaline solution react with chloroform $\left(\mathrm{CHCl}_3\right)$ at a temperature lower than that of $\mathrm{CHCl}_3$ to form ortho-isomer as the major product (due to greater stability resulting from intramolecular hydrogen bonding).

Major as stable due to intramolecular $H$-bonding.

Thus, (b) and (d) are correct.





