Aryl Halides and Phenols - Result Question 5
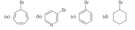
6. Which of the following compounds will produce a precipitate with $AgNO _3$?
(2019 Main, 11 Jan I)
Show Answer
Answer:
Correct Answer: 6. (a)
Solution:
Only ionic halides $\left(X^{-}\right)$give precipitate of $Ag X$ with $AgNO _3$ solution. So, an organic bromide able to produce $R^{\oplus}$ (stable carbocation) and $Br^{-}$ in aqueous solution will give precipitate of $AgBr$ with $AgNO _3$.
(a)
(b)
(c)
(d)






