Aryl Halides and Phenols - Result Question 6
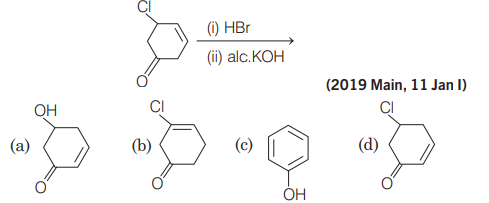
7. The major product of the following reaction is
(2019 Main, 11 Jan 1)
Show Answer
Answer:
Correct Answer: 7. (c)
Solution:
In presence of $HBr$, reactant containing >$C=C$< undergoes electrophilic addition reaction and gives substituted alkyl halide. On further reaction with alc. $KOH, \alpha, \beta$-elimination takes place that gives corresponding alkene. The alkene undergoes enolisation to give stable product (phenol).





