Aryl Halides and Phenols - Result Question 8
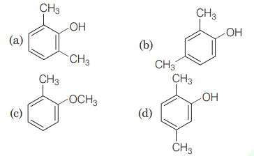
9. The major product of the following reaction is
(2019 Main, 10 Jan II)
Show Answer
Answer:
Correct Answer: 9. (c)
Solution:
Substituted phenols react with aq. $NaOH$ to form sodium phenoxides which on reaction with $CH _3 I$ undergoes $S _N 2$ reaction to give $2$-methoxy-$1$-methyl benzene.





