Benzene and Alkyl Benzene - Result Question 10
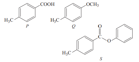
14. The compounds $P, Q$ and $S$
were separately subjected to nitration using $\mathrm{HNO}_3 / \mathrm{H}_2 \mathrm{SO}_4$ mixture. The major product formed in each case respectively, is
(2010)
Show Answer
Answer:
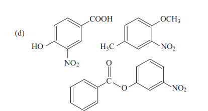
Correct Answer: 14. (c)
Solution:
$-OH$ is activating while $-COOH$ is deactivating group in $\mathrm{S}_{\mathrm{E}} \mathrm{Ar}$ reaction. Therefore, electrophile attack to ortho of the activating $-OH$ group.
Both $-\mathrm{OCH}_3$ and $-\mathrm{CH}_3$ are activating ortho/para directing groups but $-\mathrm{OCH}_3$ is stronger activator, electrophile attack to ortho of $-\mathrm{OCH}_3$.
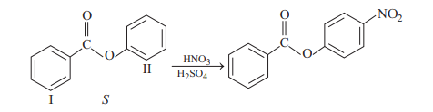
Ring II is activated while ring I is deactivated in $\mathrm{S}_{\mathrm{E}}$ Ar reaction. Therefore, electrophile attack at para to ring-II, the less hindered position.





