Benzene and Alkyl Benzene - Result Question 12
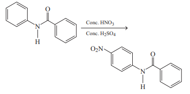
16. In the following reaction,

The product $X$ is
(2007, 3M)
Show Answer
Answer:
Correct Answer: 16. (b)
Solution:
Ring attached to nitrogen is activated while ring attached to $\mathrm{C}=\mathrm{O}$ is deactivated. Also, electrophilic substitution occur predominantly at para position of the activated ring due to immense steric hindrance at ortho position.





