Benzene and Alkyl Benzene - Result Question 2
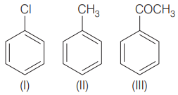
2. The increasing order of the reactivity of the following compounds towards electrophilic aromatic substitution reaction is
(a) III $<$ I $<$ II
(b) II $<$ I $<$ III
(c) III $<$ II $<$ I
(d) I $<$ III $<$ II
Show Answer
Answer:
Correct Answer: 2. (a)
Solution:
Key Idea: In electrophilic aromatic substitution $\left(Ar S_E\right.$ 2) reaction, the aromatic (benzene nucleus here) compound (substrate) acts as a nucleophile which gets attacked by an electrophile in the rate determining step (rds).
Higher electron density on the nucleophile, i.e. benzene nucleus will fasten the rate of the reaction. Electron-donating groups (EDG) will increase electron density in benzene nucleus by any or both of their $+R /+M$ and hyperconjugative (HPC) effects. Now, let us consider the given substrate.
As $-R$ effect is more powerful than $-I$ effect, the order of their reactivity, towards an electrophile will be
$\hspace{2mm} III \hspace{19mm} I \hspace{19mm} II $
$ (-R) < \hspace{3mm} (-I>+R) <\hspace{3mm} (+ HPC) $





