Benzene and Alkyl Benzene - Result Question 3
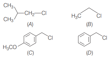
3. Increasing order of reactivity of the following compounds for $S _N 1$ substitution is
(2019 Main, 10 April I)
(a) $(A) < (B) <(D) < (C)$
(b) $(B) < (C) <(D)<(A)$
(c) $(B) <(A)<(D)<(C)$
(d) $(B)<(C)<(A)<(D)$
Show Answer
Answer:
Correct Answer: 3. (c)
Solution:
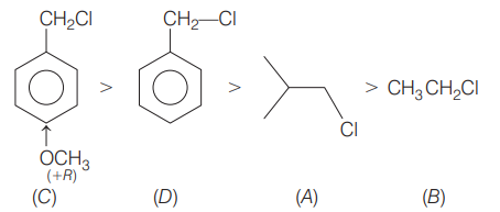
Reactivity of substitution nucleophilic unimolecular $\left(S _N 1\right)$ reaction depends on the formation of carbocation. Greater the stability of carbocation, greater will be its ease of formation of alkyl halide and faster will be the rate of reaction. So, the correct order of $\left(S _N 1\right)$ reactivity is
In compound $C$, the carbocation formed is stabilised by activating group $\left(-OCH _3\right)$. Compound $D$ forms benzyl carbocation $\left(C _6 H _5-CH _2^{+}\right)$ that is stabilised by resonance. Compound $A$ produces a primary carbocation that further rearranges itself to secondary carbocation.
Compound $B$ produces primary carbocation which is least stable among all the given options.





