Benzene and Alkyl Benzene - Result Question 32
36. Explain the followings :
Show Answer
Solution:
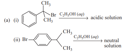
Nitro group from para position deactivates aromatic nucleophilic substitution.
$-\mathrm{NO}_2$ is not in resonance with benzene ring, does not activate the aromatic electrophilic substitution reaction, hence fluoride is not formed.
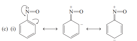
Hence, -NO2 is ortho/para directing although deactivating group. Therefore, ortho/para nitro derivatives are formed on treatment with mixed acid.
Nitro group is meta directing as well as strongly deactivating.
In the above hydrogenation reaction, the anti-aromatic character of three cyclobutadiene rings is relieved, which provides stability to the hydrogenation product.





