Biomolecules And Chemistry In Everyday Life
- Biomolecules And Chemistry In Everyday Life Result Question 1-1
- Biomolecules And Chemistry In Everyday Life Result Question 2
- Biomolecules And Chemistry In Everyday Life Result Question 3 — JEE PYQ Chapterwise
- Biomolecules And Chemistry In Everyday Life Result Question 4
- Biomolecules And Chemistry In Everyday Life Result Question 1
- Biomolecules And Chemistry In Everyday Life Result Question 5
- Biomolecules And Chemistry In Everyday Life Result Question 6 — JEE PYQ Chapterwise
- Biomolecules And Chemistry In Everyday Life Result Question 7
- Biomolecules And Chemistry In Everyday Life Result Question 8 — JEE PYQ Chapterwise
- Biomolecules And Chemistry In Everyday Life Result Question 9
- Biomolecules And Chemistry In Everyday Life Result Question 10
- Biomolecules and Chemistry in Everyday Life - Result Question 2
- Biomolecules And Chemistry In Everyday Life Result Question 11
- Biomolecules And Chemistry In Everyday Life Result Question 12
- Biomolecules And Chemistry In Everyday Life Result Question 13
- Biomolecules And Chemistry In Everyday Life Result Question 14 — JEE PYQ Chapterwise
- Biomolecules And Chemistry In Everyday Life Result Question 15
- Biomolecules And Chemistry In Everyday Life Result Question 3 — JEE PYQ Chapterwise
- Biomolecules And Chemistry In Everyday Life Result Question 16
- Biomolecules And Chemistry In Everyday Life Result Question 17 — JEE PYQ Chapterwise
- Biomolecules And Chemistry In Everyday Life Result Question 18
- Biomolecules And Chemistry In Everyday Life Result Question 19
- Biomolecules And Chemistry In Everyday Life Result Question 20
- Biomolecules and Chemistry in Everyday Life - Result Question 4
- Biomolecules And Chemistry In Everyday Life Result Question 21
- Biomolecules And Chemistry In Everyday Life Result Question 22
- Biomolecules And Chemistry In Everyday Life Result Question 23
- Biomolecules And Chemistry In Everyday Life Result Question 24
- Biomolecules And Chemistry In Everyday Life Result Question 25
- Biomolecules and Chemistry in Everyday Life - Result Question 5
- Biomolecules And Chemistry In Everyday Life Result Question 26
- Biomolecules And Chemistry In Everyday Life Result Question 27
- Biomolecules And Chemistry In Everyday Life Result Question 28
- Biomolecules And Chemistry In Everyday Life Result Question 29
- Biomolecules And Chemistry In Everyday Life Result Question 30
- Biomolecules And Chemistry In Everyday Life Result Question 6 — JEE PYQ Chapterwise
- Biomolecules and Chemistry in Everyday Life - Result Question 7
- Biomolecules And Chemistry In Everyday Life Result Question 8 — JEE PYQ Chapterwise
- Biomolecules and Chemistry in Everyday Life - Result Question 9
- Biomolecules and Chemistry in Everyday Life - Result Question 10
- Biomolecules and Chemistry in Everyday Life - Result Question 11
- Biomolecules and Chemistry in Everyday Life - Result Question 12
- Biomolecules and Chemistry in Everyday Life - Result Question 13
- Biomolecules And Chemistry In Everyday Life Result Question 14 — JEE PYQ Chapterwise
- Biomolecules and Chemistry in Everyday Life - Result Question 14
- Biomolecules and Chemistry in Everyday Life - Result Question 15
- Biomolecules And Chemistry In Everyday Life Result Question 17 — JEE PYQ Chapterwise
- Biomolecules and Chemistry in Everyday Life - Result Question 17
- Biomolecules and Chemistry in Everyday Life - Result Question 18
- Biomolecules and Chemistry in Everyday Life - Result Question 19
- Biomolecules and Chemistry in Everyday Life - Result Question 20
- Biomolecules and Chemistry in Everyday Life - Result Question 21
- Biomolecules and Chemistry in Everyday Life - Result Question 22
- Biomolecules and Chemistry in Everyday Life - Result Question 23
- Biomolecules and Chemistry in Everyday Life - Result Question 24
- Biomolecules and Chemistry in Everyday Life - Result Question 25
- Biomolecules and Chemistry in Everyday Life - Result Question 26
- Biomolecules and Chemistry in Everyday Life - Result Question 27
- Biomolecules and Chemistry in Everyday Life - Result Question 28
- Biomolecules and Chemistry in Everyday Life - Result Question 29
- Biomolecules and Chemistry in Everyday Life - Result Question 30
- Biomolecules and Chemistry in Everyday Life - Result Question 31
- Biomolecules and Chemistry in Everyday Life - Result Question 32
- Biomolecules and Chemistry in Everyday Life - Result Question 33
- Biomolecules and Chemistry in Everyday Life - Result Question 34
- Biomolecules and Chemistry in Everyday Life - Result Question 36 — JEE PYQ Chapterwise
- Biomolecules and Chemistry in Everyday Life - Result Question 36 — JEE PYQ Chapterwise
- Biomolecules and Chemistry in Everyday Life - Result Question 37
- Biomolecules and Chemistry in Everyday Life - Result Question 38
- Biomolecules and Chemistry in Everyday Life - Result Question 40 — JEE PYQ Chapterwise
- Biomolecules and Chemistry in Everyday Life - Result Question 40 — JEE PYQ Chapterwise
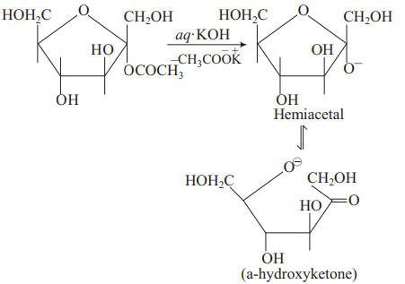
Biomolecules And Chemistry In Everyday Life Result Question 17 — JEE PYQ Chapterwise
17. Which of the following compounds will behave as a reducing sugar in an aqueous $KOH$ solution?
(2017 Main)
Show Answer
Answer:
Correct Answer: 17. ( a )
Solution:
- Sugars that have an aldehyde, a ketone, a hemiacetal or a hemiketal group is able to reduce an oxidising agent. These sugars are classified as reducing sugars
Hemiacetal can be easily reduced by oxidising agent such as Tollen’s reagent





