Carboxylic Acids and their Derivatives - Result Question 2-1
2. The major product of the following reaction is
(2019 Main, 8 April I)
Show Answer
Answer:
Correct Answer: 2. (d)
Solution:
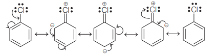
The major product of the given reaction is (d). This reaction proceed via Friedel-Craft acylation. Here, $- Cl$ group present on chlorobenzene is ortho and para-directing. It can be easily understood by resonating structures of chlorobenzene.
The given reaction proceed as follows:





