Carboxylic Acids and their Derivatives - Result Question 35
Passage
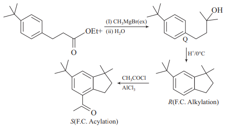
The reaction of compound $P$ with $\mathrm{CH}_3 \mathrm{MgBr}$ (excess) in $\left(\mathrm{C}_2 \mathrm{H}_5\right)_2 \mathrm{O}$ followed by addition of $\mathrm{H}_2 \mathrm{O}$ gives $Q$. The compound $Q$ on treatment with $\mathrm{H}_2 \mathrm{SO}_4$ at $0^{\circ} \mathrm{C}$ gives $R$. The reaction of $R$ with $\mathrm{CH}_3 \mathrm{COCl}$ in the presence of anhydrous $\mathrm{AlCl}_3$ in $\mathrm{CH}_2 \mathrm{Cl}_2$ followed by treatment with $\mathrm{H}_2 \mathrm{O}$ produces compound $S$. [Et in compound $P$ is ethyl group]
22. The reactions, $Q$ to $R$ and $R$ to $S$, are
(a) Aromatic sulfonation and Friedel-Crafts acylation
(b) Friedel-Crafts alkylation and Friedel-Crafts acylation
(c) Friedel-Crafts alkylation, dehydration and Friedel-Crafts acylation
(d) Dehydration and Friedel-Crafts acylation
Show Answer
Answer:
Correct Answer: 22. (c)
Solution:





