Carboxylic Acids and their Derivatives - Result Question 37
Passage
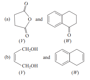
$P$ and $Q$ are isomers of dicarboxylic acid $\mathrm{C}_4 \mathrm{H}_4 \mathrm{O}_4$. Both decolourize $\mathrm{Br}_2 / \mathrm{H}_2 \mathrm{O}$. On heating, $P$ forms the cyclic anhydride. Upon treatment with dilute alkaline $\mathrm{KMnO}_4 \cdot P$ as well as $Q$ could produce one or more than one form $S, T$ and $U$.
(2013 Adv.)
24. In the following reaction sequences $V$ and $W$ are respectively
$ Q \xrightarrow[\Delta]{H _2 / Ni} V $
Show Answer
Answer:
Correct Answer: 24. (a)
Solution:
PLAN: $Ni/H_2$ reduces $(C = C)$ bond.
Benzene undergoes Friedel - Crafts reaction $Zn-Hg/HCl$ reduces carbonyl group (Clemmmensen reduction)





