Coordination Compounds 1 Question 5
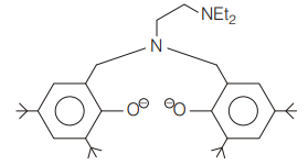
5. The following ligand is
(a) hexadentate
(b) tetradentate
(c) bidentate
(d) tridentate
(2019 Main, 8 April I)
Show Answer
Answer:
Correct Answer: 5. (b)
Solution:
- Key Idea: Denticity of ligand is defined as donor sites or number of ligating groups.
The given ligand is tetradentate. It contains four donor atoms. It can bind through two nitrogen and two oxygen atom to the central metal ion.
Ligand bound to the central atom or ion through coordinate bond in the coordination entity. It act as a Lewis base. The attacking site of the given ligand is given in bold.





