Hydrocarbons - Result Question 72
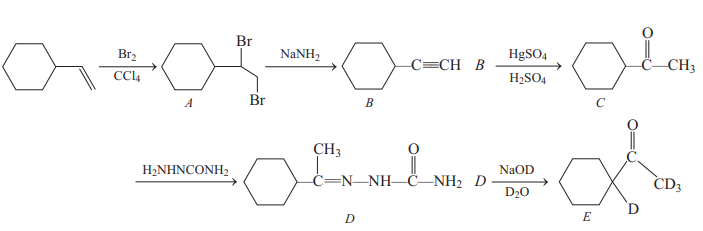
59. (a) Identify $(A),(B),(C),(D)$ and $(E)$ in the following schemes and write their structures :
(b) Identify $(X),(Y)$ and $(Z)$ in the following synthetic scheme and write their structures. Explain the formation of labelled formaldehyde $(H _2 C^{*} O)$ as one of the products when compound $(Z)$ is treated with $HBr$ and subsequently ozonolysed. Mark the $C^{*}$ carbon in the entire scheme.
$BaC^{*} O _3+H _2 SO _4 \rightarrow(X)$ gas
$\left[C^{*}\right.$ denotes $C^{14}$ ]
$ H _2 C=CH-Br \xrightarrow[\substack{\text { (ii) } X \\ \text { (iii) } H _3 O^{+}}]{\text {(i) Mg/ether }}(Y) \xrightarrow{LiAlH _4}(Z) $
(2001)
Show Answer
Solution:
- (a)
(b) $Ba\stackrel{*}CO _3+H _2 SO _4 \longrightarrow \stackrel{*}{CO _2}+BaSO _4$





