Organic Chemistry Basics - Result Question 104

56. The compound in which $C$ uses its $s p^{3}$-hybrid orbitals for bond formation is

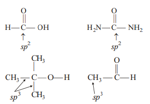
(a) $HCOOH$

(b) $\left(H _2 N\right) _2 CO$

(c) $\left(CH _3\right) _3 COH$

(d) $CH _3 CHO$

$(2000,1 M)$

Show Answer

Answer:

Correct Answer: 56. (c, d)

Solution:

alt text



sathee Ask SATHEE

Welcome to SATHEE !
Select from 'Menu' to explore our services, or ask SATHEE to get started. Let's embark on this journey of growth together! 🌐📚🚀🎓

I'm relatively new and can sometimes make mistakes.
If you notice any error, such as an incorrect solution, please use the thumbs down icon to aid my learning.
To begin your journey now, click on

Please select your preferred language
कृपया अपनी पसंदीदा भाषा चुनें