Qualitative Analysis - Result Question 1
1. An organic compound $X$ showing the following solubility profile is
(2019 Main, 8 April I)

(a) $o$-toluidine
(b) oleic acid
(c) $m$-cresol
(d) benzamide
Show Answer
Answer:
Correct Answer: 1. (c)
Solution:
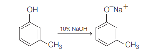
$m$-cresol is the organic compound that shows the following solubility profile.

$m$-cresol on reaction with $10 % $ $NaOH$ forms $3$-methyl sodiumphenoxide ion.
It does not react with $\mathrm{H}2 \mathrm{O}, $ $5 % $ $\mathrm{HCl}$ and $10 %$ $ \mathrm{NaHCO}3$. Oleic acid $\left(\mathrm{C}{18} \mathrm{H}{34} \mathrm{O}_2\right)$ is soluble in $10 % $ $ \mathrm{NaOH}$ and $10 %$ $\mathrm{NaHCO}_3$ due to the presence of COOH group.
is insoluble in $5 % $ $\mathrm{HCl}, 10 % $ $\mathrm{NaOH}$ and $10 % $ $\mathrm{NaHCO}_3$ due to the presence $-\mathrm{CONH}_2$ group. $o$-toluidine is soluble in $5 % .$ $ \mathrm{HCl}$ due to presence of basic group $\left(-\mathrm{NH}_2\right)$ attached to ring.





