Surface Chemistry - Result Question 1 — JEE PYQ Chapterwise
6. The number of water molecule(s) not coordinated to copper ion directly in $\mathrm{CuSO}_4 \cdot 5 \mathrm{H}_2 \mathrm{O}$, is
(2019 Main, 9 April I)
(a) 2
(b) 3
(c) 1
(d) 4
Show Answer
Answer:
Correct Answer: 6. (c)
Solution:
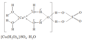
In $\mathrm{CuSO}_4 \cdot 5 \mathrm{H}_2 \mathrm{O}$, one molecule of water is indirectly connected to Cu . In this molecule, four water molecules form coordinate bond with $\mathrm{Cu}^{2+}$ ion while one water molecule is associated with H -bond with $\mathrm{SO}_4^{2-}$.
Structure of $\mathrm{CuSO}_4 \cdot 5 \mathrm{H}_2 \mathrm{O}$





