Transition And Innertransition Elements
- Transition and InnerTransition Elements - Result Question 1
- Transition and InnerTransition Elements - Result Question 9 — JEE PYQ Chapterwise
- Transition and InnerTransition Elements - Result Question 2
- Transition and InnerTransition Elements - Result Question 11 — JEE PYQ Chapterwise
- Transition and InnerTransition Elements - Result Question 3
- Transition and InnerTransition Elements - Result Question 4
- Transition and InnerTransition Elements - Result Question 5
- Transition and InnerTransition Elements - Result Question 6
- Transition and InnerTransition Elements - Result Question 7
- Transition and InnerTransition Elements - Result Question 37
- Transition and InnerTransition Elements - Result Question 38
- Transition and InnerTransition Elements - Result Question 39 — JEE PYQ Chapterwise
- Transition and InnerTransition Elements - Result Question 8
- Transition and InnerTransition Elements - Result Question 42
- Transition and InnerTransition Elements - Result Question 43
- Transition and InnerTransition Elements - Result Question 44
- Transition and InnerTransition Elements - Result Question 45
- Transition and InnerTransition Elements - Result Question 9 — JEE PYQ Chapterwise
- Transition and InnerTransition Elements - Result Question 46 — JEE PYQ Chapterwise
- Transition and InnerTransition Elements - Result Question 48 — JEE PYQ Chapterwise
- Transition and InnerTransition Elements - Result Question 51 — JEE PYQ Chapterwise
- Transition and InnerTransition Elements - Result Question 53
- Transition and InnerTransition Elements - Result Question 54
- Transition and InnerTransition Elements - Result Question 11 — JEE PYQ Chapterwise
- Transition and InnerTransition Elements - Result Question 55
- Transition and InnerTransition Elements - Result Question 56 — JEE PYQ Chapterwise
- Transition and InnerTransition Elements - Result Question 58 — JEE PYQ Chapterwise
- Transition and InnerTransition Elements - Result Question 12
- Transition and InnerTransition Elements - Result Question 60
- Transition and InnerTransition Elements - Result Question 61 — JEE PYQ Chapterwise
- Transition and InnerTransition Elements - Result Question 63 — JEE PYQ Chapterwise
- Transition and InnerTransition Elements - Result Question 13
- Transition and InnerTransition Elements - Result Question 66
- Transition and InnerTransition Elements - Result Question 67
- Transition and InnerTransition Elements - Result Question 68
- Transition and InnerTransition Elements - Result Question 69
- Transition and InnerTransition Elements - Result Question 14
- Transition and InnerTransition Elements - Result Question 70
- Transition and InnerTransition Elements - Result Question 71
- Transition and InnerTransition Elements - Result Question 72
- Transition and InnerTransition Elements - Result Question 73
- Transition and InnerTransition Elements - Result Question 15
- Transition and InnerTransition Elements - Result Question 16
- Transition and InnerTransition Elements - Result Question 17
- Transition and InnerTransition Elements - Result Question 18
- Transition and InnerTransition Elements - Result Question 19
- Transition and InnerTransition Elements - Result Question 20
- Transition and InnerTransition Elements - Result Question 21
- Transition and InnerTransition Elements - Result Question 22
- Transition and InnerTransition Elements - Result Question 23
- Transition and InnerTransition Elements - Result Question 24
- Transition and InnerTransition Elements - Result Question 25
- Transition and InnerTransition Elements - Result Question 26
- Transition and InnerTransition Elements - Result Question 27
- Transition and InnerTransition Elements - Result Question 28
- Transition and InnerTransition Elements - Result Question 29
- Transition and InnerTransition Elements - Result Question 30
- Transition and InnerTransition Elements - Result Question 31
- Transition and InnerTransition Elements - Result Question 32
- Transition and InnerTransition Elements - Result Question 33
- Transition and InnerTransition Elements - Result Question 34
- Transition and InnerTransition Elements - Result Question 35
- Transition and InnerTransition Elements - Result Question 39 — JEE PYQ Chapterwise
- Transition and InnerTransition Elements - Result Question 40
- Transition and InnerTransition Elements - Result Question 46 — JEE PYQ Chapterwise
- Transition and InnerTransition Elements - Result Question 48 — JEE PYQ Chapterwise
- Transition and InnerTransition Elements - Result Question 49
- Transition and InnerTransition Elements - Result Question 51 — JEE PYQ Chapterwise
- Transition and InnerTransition Elements - Result Question 56 — JEE PYQ Chapterwise
- Transition and InnerTransition Elements - Result Question 58 — JEE PYQ Chapterwise
- Transition and InnerTransition Elements - Result Question 61 — JEE PYQ Chapterwise
- Transition and InnerTransition Elements - Result Question 63 — JEE PYQ Chapterwise
- Transition and InnerTransition Elements - Result Question 64
- Transition and InnerTransition Elements - Result Question 74
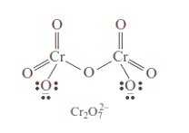
Transition and InnerTransition Elements - Result Question 33
34. In the dichromate dianion
$(1999,2 M)$
(a) $4 Cr-O$ bonds are equivalent
(b) $6 Cr-O$ bonds are equivalent
(c) all $Cr-O$ bonds are equivalent
(d) all $Cr-O$ bonds are non-equivalent
Show Answer
Answer:
Correct Answer: 34. (b)
Solution:
The structure of dichromate ion is :
Exhibit resonance phenomena. Except the bridged $Cr-O-Cr$, all $Cr-O$ bonds are equivalent.





