Application Of Derivatives Ques 86
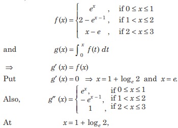
86. If $f(x)=2-e^{x-1}, \quad 1<x \leq 2$ and $g(x)=\int_{0}^{x} f(t) d t$,
$ x-e, \quad 2<x \leq 3 $
$x \in [1,3]$, then
(2006, 3M)
(a) $g(x)$ has local maxima at $x=1+\log _{e} 2$ and local minima at $x=e$
(b) $f(x)$ has local maxima at $x=1$ and local minima at $x=2$
(c) $g(x)$ has no local minima
(d) $f(x)$ has no local maxima
Show Answer
Answer:
Correct Answer: 86.(a, b)
Solution:
Formula:
Maxima and Minima of functions of one variable :
- Given,
$g^{\prime \prime}\left(1+\log _{e} 2\right)=-e^{\log _{e} 2}<0, g(x)$ has a local maximum.
Also, at $x=e$,
$g^{\prime \prime}(e)=1>0, g(x)$ has a local minimum.
$\because f(x)$ is discontinuous at $x=1$, then we cannot determine local maxima or minima at $x=1$ or $x=2$.
Hence, (a) and (b) are correct answers.





