Kinematics Ques 20
- A boat which has a speed of $5 km / h$ in still water crosses a river of width $1 km$ along the shortest possible path in $15 min$. The velocity of the river water in $km / h$ is
(a) 1
(b) 3
(c) 4
(d) $\sqrt{41}$
(1988, 2M)
Show Answer
Answer:
Correct Answer: 20.(b)
Solution:
Formula:
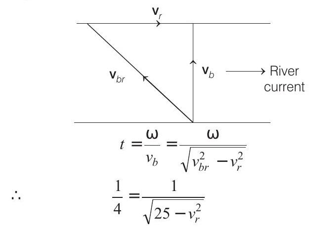
- Shortest possible path comes when absolute velocity of boatman comes perpendicular to river current as shown in figure.

Solving this equation, we get $v _r=3 km / h$