Properties Of Matter Ques 77
- A drop of liquid of radius $R=10^{-2} m$ having surface tension $S=\frac{0.1}{4 \pi} Nm^{-1}$ divides itself into $K$ identical drops. In this process the total change in the surface energy $\Delta U=10^{-3} J$. If $K=10^{\alpha}$, then the value of $\alpha$ is
(2017 Adv.)
Show Answer
Answer:
Correct Answer: 77.(a) $\frac{g}{50}$
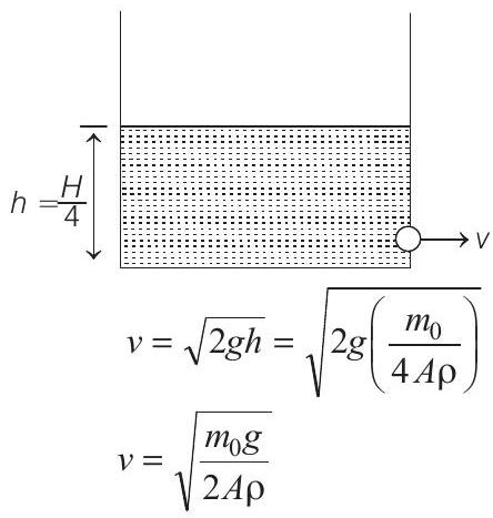
(b) $\sqrt{\frac{g m _0}{2 A \rho}}$
Solution:
- (a) Mass of water $=($ Volume $)($ density $)$
$$ \begin{array}{ll} \therefore\ m_0=(A H)\rho\ \\ \therefore & H=\frac{m _0}{A \rho} \end{array} $$
Velocity of efflux,
$$ \begin{alignedat} v & =\sqrt{2 g H}=\sqrt{2 g \frac{m _0}{A \rho}} \\ & =\sqrt{\frac{2 m _0 g}{A \rho}} \end{aligned} $$
Thrust force on the container due to liquid draining from the bottom is given by,

$F=$ (density of liquid) (area of hole)(velocity of efflux)^{2}
$$ \begin{alignedat} F & =\rho a v^{2} \\ F & =\rho A v^{2} \\ & =\rho\left(\frac{A}{100}\right)\left(\frac{2 m_0 g}{A \rho}\right) \\ F & =\frac{m _0 g}{50} \end{aligned} $$
$\therefore$ Acceleration of the container, $a=F / m_0=g / 50$
(b) Velocity of efflux when $75 %$ liquid has been drained out i.e. height of liquid, $h=\frac{H}{4}=\frac{m_0}{4 A \rho}$
