JEE Main 12 Jan 2019 Evening Question 16
Question: The major product of the following reaction is [JEE Main Online Paper Held On 12-Jan-2019 Evening]

Options:
A)
B)
C)

D)
Show Answer
Answer:
Correct Answer: B
Solution:
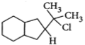
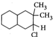
- It is a simple case of Markownikoff addition. The reaction proceeds as:
The structure of options given may confuse an aspirant with ring expansion but that is seen as the minor product only [Due to the formation of a 3° stable carbocation in the process] the major product is:-






