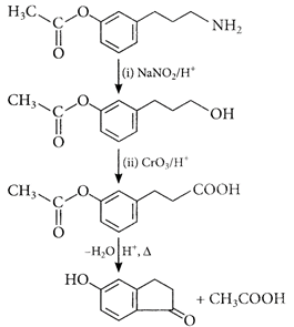
JEE Main 12 Jan 2019 Evening Question 24
Question: The major product of the following reaction is [JEE Main Online Paper Held On 12-Jan-2019 Evening]

Options:
A)
B)
C)
D)
Show Answer
Answer:
Correct Answer: C

A)
B)
C)
D)
Correct Answer: C

Welcome to SATHEE !
Select from 'Menu' to explore our services, or ask SATHEE to get started. Let's embark on this journey of growth together! 🌐📚🚀🎓
I'm relatively new and can sometimes make mistakes.
If you notice any error, such as an incorrect solution, please use the thumbs down icon to aid my learning.
To begin your journey now, click on "I understand".