knowledge-route Maths10 Ch4
title: “Lata knowledge-route-Class10-Math1-2 Merged.Pdf(1)” type: “reveal” weight: 1
POLYNOMIALS
POLYNOMIALS :
An algebraic expression $f(x)$ of the form $(f x)=a_0+a_1 x+a_2 x^{2}+\ldots \ldots .+a_n x^{n}$, where $a_0, a_1, a_2 \ldots \ldots . . a_n$ are real numbers and all the index of $\mathbf{x}$ are non-negative integers is called polynomials in $\mathbf{x}$ and the highest Index $\mathbf{n}$ in called the degree of the polynomial, if $a_n \neq 0$.
POLYNOMIALS :
4.1 (a) Zero Degree Polynomial :
Any non-zero number is regarded as a polynomial of degree zero or zero degree polynomial. For example, $\mathbf{f}(\mathbf{x})=\mathbf{a}$, where $a \neq 0$ is a zero degree polynomial, since we can write $\mathbf{f}(\mathbf{x})=\mathbf{a}$ as $\mathbf{f}(\mathbf{x})=\mathbf{a} \mathbf{x}^{0}$.
POLYNOMIALS :
4.1 (b) Constant Polynomial :
A polynomial of degree zero is called a constant polynomial. For example, $f(x)=7$.
POLYNOMIALS
4.1 (c) Linear Polynomial :
A polynomial of degree 1 is called a linear polynomial.
For example: $p(x)=4 x-3$ and $f(t)=\sqrt{3} t+5$ are linear polynomials.
POLYNOMIALS :
4.1 (d) Quadratic Polynomial :
A polynomial of degree 2 is called quadratic polynomial.
For example: $f(x)=2 x^{2}+5 x-\frac{3}{5}$ and $g(y)=3 y^{2}-5$ are quadratic polynomials with real coefficients.
POLYNOMIALS
IMPORTANT FORMULAE :
$(x+a)^{2}=x^{2}+2 a x+a^{2}$
$(x-a)^{2}=x^{2}-2 a x+a^{2}$
$x^{2}-a^{2}=(x+a)(x-a)$
$x^{3}+a^{3}=(x+a)(x^{2}-a x+a^{2})=(x+a)^{3}-3 x a(x+a)$
$x^{3}-a^{3}=(x-a)(x^{2}+a x+a^{2})=(x-a)^{3}+3 x a(x-a)$
$(a+b+c)^{2}=a^{2}+b^{2}+c^{2}+2 a b+2 b c+2 c a$
$(a+b)^{3}=a^{3}+b^{3}+3 a b(a+b)$
$(a-b)^{3}=a^{3}-b^{3}-3 a b(a-b)$
$a^{3}+b^{3}+c^{3}-3 a b c=(a+b+c)(a^{2}+b^{2}+c^{2}-a b-b c-c a)$
Special Case: If $a+b+c=0$ then $a^{3}+b^{3}+c^{3}=3 a b c$.
POLYNOMIALS
4.2 GRAPH OF POLYNOMIALS :
In algebraic or in set theoretic language the graph of a polynomial $f(x)$ is the collection (or set) of all points $(\mathbf{x}, \mathbf{y})$, where $\mathbf{y}=\mathbf{f}(\mathbf{x})$. In geometrical or in graphical language the graph of a polynomial $f(x)$ is a smooth free hand curve passing through points $.\mathbf{x} _1, \mathbf{y} _1),(\mathbf{x} _2, \mathbf{y} _2),(\mathbf{x} _3, \mathbf{y} _3), \ldots .$. etc. where $\mathbf{y} _1, \mathbf{y} _2, \mathbf{y} _3, \ldots$ are the values of the polynomial $\mathbf{f}(\mathbf{x})$ at $\mathbf{x} _1, \mathbf{x} _2, \mathbf{x} _3, \ldots$ respectively.
In order to draw the graph of a polynomial $\mathbf{f}(\mathbf{x})$, follow the following algorithm.
POLYNOMIALS
ALGORITHM :
Step (i) Find the values $\mathbf{y} _1, \mathbf{y} _2, \ldots . . \mathbf{y} _{\mathbf{n}}$ of polynomial $f(x)$ on different points $\mathbf{x} _1, \mathbf{x} _2, \ldots \ldots . \mathbf{x} _n \ldots \ldots \ldots \ldots$ and prepare a table that gives values of $\mathbf{y}$ or $\mathbf{f}(\mathbf{x})$ for various values of $\mathbf{x}$.
| $x:$ | $x_1$ $\quad$ $x_2 \ldots \ldots$ $\quad$ $x_n$ $\quad$ $x_{n+1}$ $\quad$ $\ldots$ $\quad$ |
|---|---|
| $y=f(x)$ | $y_1=f(x_1) y_2=f(x_2) \ldots$ $\quad$ $Y_n=f(x_n)$ $\quad$ $y_{n+1}=f(x_{n+1})$ $\quad$ ….. |
Step (ii) Plot that points $(x_1, y_1),(x_2, y_2),(x_3, y_3), \ldots . .(x_n, y_n) \ldots$. on rectangular co-ordinate system. In plotting these points use different scales on the $X$ and $Y$ axes.
Step (iii) Draw a free hand smooth curve passing through points plotted in step 2 to get the graph of the polynomial $\mathbf{f}(\mathbf{x})$.
POLYNOMIALS
4.2 (a) Graph of a Linear Polynomial :
Consider a linear polynomial $f(x)=a x+b, a \neq 0$ Graph of $\mathbf{y}=\mathbf{a x}+\mathbf{b}$ is a straight line. That in why $f(x)=$ $a x+b$ is called a linear polynomial. Since two points determine a straight line, so only two points need to plotted to draw the line $\mathbf{y}=\mathbf{a x}+\mathbf{b}$. The line represented by $\mathbf{y}=\mathbf{a x}+\mathbf{b}$ crosses the $X$-axis at exactly one point, namely $(-\frac{b}{a}, 0)$.
POLYNOMIALS
Ex. 1 Draw the graph of the polynomial $f(x)=2 x-5$. Also, find the coordinates of the point where it crosses $X$ axis.
POLYNOMIALS
Sol. Let $y=2 x-5$.
The following table list the values of $\mathbf{y}$ corresponding to different values of $\mathbf{x}$.
| $x$ | 1 | 4 |
|---|---|---|
| $y$ | -3 | 3 |
The points A $(1,-3)$ and $B(4,3)$ are plotted on the graph paper on a suitable scale. A line is drawn passing through these points to obtain the graphs of the given polynomial.
POLYNOMIALS
4.2 (b) Graph of a Quadratic Polynomial :
Let $a, b, c$ be real numbers and $a \neq 0$. Then $f(x)=a x^{2}+b x+c$ is known as a quadratic polynomial in $x$. Graph of the quadratic polynomial i.e. he curve whose equation is $y=a x^{2}+b x+c, a \neq 0$ Graph of $a$ quadratic polynomial is always a parabola.
Let $y=a x^{2}+b x+c$, where $a \neq 0$
$\Rightarrow 4 a y=4 a^{2} x^{2}+4 a b x+4 a c$
$\Rightarrow 4 a y=4 a^{2} x^{2}+4 a b x+b^{2}-b^{2}+4 a c$
$\Rightarrow 4 ay=(2 ax+b)^{2}-(b^{2}-4 ac)$
$\Rightarrow 4 a y+(b^{2}-4 a c)=(2 a x+b)^{2} \Rightarrow 4 a y+(b^{2}-4 a c)=4 a^{2}(x+b / 2 a)^{2}$
$\Rightarrow 4 a{y+\frac{b^{2}-4 a c}{4 a}}=4 a^{2}(x+\frac{b}{2 a})^{2}$
$\Rightarrow(y+\frac{D}{4 a})=a(a+\frac{b}{2 a})^{2}$
POLYNOMIALS

where $\mathbf{D}=\mathbf{b}^{2}$ - $\mathbf{4 a c}$ is the discriminate of the quadratic equation.
POLYNOMIALS
REMARKS :
Shifting the origin at $(-\frac{b}{2 a},-\frac{D}{4 a})$, we have $X=x-(-\frac{b}{2 a})$ and $Y=y-\frac{(-D)}{4 a}$
Substituting these values in (i), we obtain
$Y=a X^{2}$ ….(ii)
which is the standard equation of parabola
Clearly, this is the equation of a parabola having its vertex at $(-\frac{b}{2 a}, \frac{D}{4 a})$.
The parabola opens upwards or downwards according as a $>0$ or $a<0$.
POLYNOMIALS
4.3 SIGN OF QUADRTIV EXPRESSIONS :
Let $\alpha$ be a real root of $\mathbf{a} \mathbf{x}^{2}+\mathbf{b x}+\mathbf{c}=\mathbf{0}$. Then $a \alpha^{2}+b \alpha+c=0$ Point $(\alpha, 0)$ lies on $y=ax x^{2}+bx+c$. Thus, every real root of $a x^{2}+b x+c=0$ represents a point of intersecting of the parabola with the $X$-axis.
Conversely, if the parabola $y=a x^{2}+b x+c$ intersects the $X$-axis at a point $(\alpha, 0)$ then $(\alpha, 0)$ satisfies the equation $y=a x^{2}+b x+c$
$\Rightarrow \quad a \alpha^{2}+b \alpha+c=0 \quad[\alpha.$ is a real root of $ax^{2}+bx+c=0$ ]
Thus, the intersection of the parabola $y=a x^{2}+b x+c$ with $X$-axis gives all the real roots of $a x^{2}+b x+c=$ 0 . Following conclusions may be drawn :-
POLYNOMIALS
(i) If $D>0$, the parabola will intersect the $x$-axis in two distinct points and vice-versa.
The parabola meets $x$-axis at $\alpha=\frac{-b-\sqrt{D}}{2 a}$ and $\beta=\frac{-b+\sqrt{D}}{2 a}$

Roots are real & distinct
POLYNOMIALS
(ii) If $D=0$, the parabola will just touch the $x$-axis at one point and vice-versa.

Roots are equal
POLYNOMIALS
(iii) If $D<0$, the parabola will not intersect $x$-axis at all and vice-versa.

Roots are imaginary
POLYNOMIALS
REMARKS
$\star \quad \forall x \in R, y>0$ only if $a>0$ & $ D \equiv b^{2}-4 ac<0$
$\star \quad \forall x \in R, y<0$ only if $a<0 $ & $ D \equiv b^{2}-4 ac<0$
POLYNOMIALS
Ex. 2 Draw the graph of the polynomial $f(x)=x^{2}-2 x-8$
POLYNOMIALS
Sol. Let $y=x^{2}-2 x-8$.
The following table gives the values of $y$ or $f(x)$ for various values of $x$.
| $x$ | -4 | -3 | -2 | -1 | 0 | 1 | 2 | 3 | 4 | 5 | 6 |
|---|---|---|---|---|---|---|---|---|---|---|---|
| $y=x^{2}-2 x-8$ | 16 | 7 | 0 | -5 | -8 | -9 | -8 | -5 | 0 | 7 | 16 |
POLYNOMIALS
Let us plot the points $(-4,16),(-3,7),(-2,0),(-1,-5),(0,-8),(1,-9),(2,-8),(3,-5),(4,0),(5,7)$ and $(6,16)$ on a graphs paper and draw a smooth free hand curve passing through these points. The curve thus obtained represents the graphs of the polynomial $f(x)=x^{2}-2 x-8$. This is called a parabola. The lowest point $P$, called a minimum points, is the vertex of the parabola. Vertical line passing through $P$ is called the axis of the parabola. Parabola is symmetric about the axis. So, it is also called the line of symmetry.
POLYNOMIALS
Observations :
From the graphs of the polynomial $f(x)=x^{2}-2 x-8$, following observations can be drawn :
(i) The coefficient of $x^{2}$ in $f(x)=x^{2}-2 x-8$ is 1 (a positive real number) and so the parabola opens upwards.
(ii) $\quad D=b^{2}-4 ac=4+32=36>0$. So, the parabola cuts $X$-axis at two distinct points.
(iii) On comparing the polynomial $x^{2}-2 x-8$ with $a x^{2}+b x+c$, we get $a=1, b=-2$ and $c=-8$.
The vertex of the parabola has coordinates $(1,-9)$ i.e. $(\frac{-b}{2 a}, \frac{-D}{4 a})$, where $D \equiv b^{2}-4 a c$.
(iv) The polynomial $f(x)=x^{2}-2 x-8=(x-4)(x+2)$ is factorizable into two distinct linear factors $(x-4)$ and $(x+2)$. So, the parabola cuts $X$-axis at two distinct points $(4,0)$ and $(-2,0)$. the $x$-coordinates of these points are zeros of $f(x)$.
POLYNOMIALS
Ex. 3 Draw the graphs of the quadratic polynomial $f(x)=3-2 x-x^{2}$.
POLYNOMIALS
Sol. Let $y=f(x)$ or, $y=3-2 x-x^{2}$.
Let us list a few values of $y=3-2 x-x^{2}$ corresponding to a few values of $x$ as follows :
| $x$ | -5 | -4 | -3 | -2 | -1 | 0 | 1 | 2 | 3 | 4 |
|---|---|---|---|---|---|---|---|---|---|---|
| $y=3-2 x-x^{2}$ | -12 | -5 | 0 | 3 | 4 | 3 | 0 | -5 | -12 | -21 |
POLYNOMIALS
Thus, the following points lie on the graph of the polynomial $y=2-2 x-x^{2}$ :
$(-5,-12),(-4,-5),(-3,0),(-2,4),(-1,4),(0,3),(1$, $0),(2,-5),(3,-12)$ and $(4,-21)$.
Let plot these points on a graph paper and draw a smooth free hand curve passing through these points to obtain the graphs of $y$ $=3-2 x-x^{2}$. The curve thus obtained represents a parabola, as shown in figure. The highest point $P(-1,4)$, is called a maximum points, is the vertex of the parabola. Vertical line through $P$ is the axis of the parabola. Clearly, parabola is symmetric about the axis.
POLYNOMIALS
Observations:Following observations from the graph of the polynomial $f(x)=3-2 x-x^{2}$ is as follows :
(i) The coefficient of $x^{2}$ in $f(x)=3-2 x-x^{2}$ is -1 i.e. a negative real number and so the parabola opens downwards.
(ii) $D \equiv b^{2}-4 ax=4+12=16>0$. So, the parabola cuts $x$-axis two distinct points.
(iii) On comparing the polynomial $3-2 x-x^{2}$ with $a x^{2}+b c+c$, we have $a=-1, b=-2$ and $c=3$. The vertex of the parabola is at the point $(-1,4)$ i.e. at $(\frac{-b}{2 a}, \frac{-D}{4 a})$, where $D=b^{2}-4 a c$.
(iv) The polynomial $f(x)=3-2 x-x^{2}=(1-x)(x+3)$ is factorizable into two distinct linear factors $(1-x)$ and $(x+3)$. So, the parabola cuts $X$-axis at two distinct points $(1,0)$ and $(-3,0)$. The co-ordinates of these points are zeros of $f(x)$.
POLYNOMIALS
4.4 GRAPH OF A CUBIC POLYNOMIAL :
Graphs of a cubic polynomial does not have a fixed standard shape. Cubic polynomial graphs will always cross $X$-axis at least once and at most thrice.
POLYNOMIALS
Ex. 4 Draw the graphs of the polynomial $f(x)=x^{3}-4 x$.
POLYNOMIALS
Sol. Let $y=f(x)$ or, $y=x^{2}-4 x$.
The values of $y$ for variable value of $x$ are listed in the following table :
| $x$ | -3 | -2 | -1 | 0 | 1 | 2 | 3 |
|---|---|---|---|---|---|---|---|
| $y=x^{3}-4 x$ | -15 | 0 | 3 | 0 | -3 | 0 | 15 |
POLYNOMIALS
Thus, the curve $y=x^{3}-4 x$ passes through the points $(-3,-15),(-2,0),(-1,3),(0,0),(1,-3),(2,0),(3,15),(4,48)$ etc.Plotting these points on a graph paper and drawing a free hand smooth curve through these points, we obtain the graph of the given polynomial as shown figure.
Observations :
For the graphs of the polynomial $f(x)=x^{3}-4 x$, following observations are as follows :-
(i) The polynomial $f(x)=x^{3}-4 x=x(x^{2}-4)=x(x-2)(x+2)$ is factorizable into three distinct linear factors. The curve $y=f(x)$ also cuts $X$-axis at three distinct points.
(ii) We have, $f(x)=x(x-2)(x+2) \quad$ Therefore 0,2 and -2 are three zeros of $f(x)$. The curve $y$ $=f(x)$ cuts $X$-axis at three points $O(0,0), P(2,0)$ and $Q(-2,0)$.
POLYNOMIALS
4.5 RELATIONSHIP BETWEEN ZEROS AND COEFFICIENTS OF A QUADRATIC POLYNOMIAL :
Let $\alpha$ and $\beta$ be the zeros of a quadratic polynomial $f(x)=a x^{2}+b x+c$. By facto $r$ theorem $(x-\alpha)$ and $(x-\beta)$ are the factors of $f(x)$.
$\therefore \quad f(x)=k(x-\alpha)(x-\beta)$ are the factors of $f(x)$
$\Rightarrow ax^{2}+bx+c=k{x^{2}-(\alpha+\beta) x+\alpha \beta}$
$\Rightarrow ax^{2}+bx+c=kx^{2}-k(\alpha+\beta) x+k \alpha \beta$
Comparing the coefficients of $x^{2}, x$ and constant terms on both sides, we get $a=k, b=-k(\alpha+\beta)$ and $k \alpha \beta$
$\Rightarrow \alpha+\beta=-\frac{b}{a}$ and $\alpha \beta=\frac{c}{a} \quad \Rightarrow \quad \alpha+\beta=-\frac{\text { Coefficient of } x}{\text { Coefficient of } x^{2}}$ and $\alpha \beta=\frac{\text { Constant term }}{\text { Coefficient of } x^{2}}$
Hence,
Sum of the zeros $=-\frac{b}{a}=-\frac{\text { Coefficient of } x}{\text { Coefficient of } x^{2}}$
Product of the zeros $=\frac{c}{a}=\frac{\text { Constant term }}{\text { Coefficient of } x^{2}}$
POLYNOMIALS
REMAKRS :
If $\alpha$ and $\beta$ are the zeros of a quadratic polynomial $f(x)$. The , the polynomial $f(x)$ is given by
$ f(x)=k{x^{2}-(\alpha+\beta) x+\alpha \beta} $
or $f(x)=k${$x^{2}-$( Sum of the zeros) $x+$ Product of the zeros }
POLYNOMIALS
Ex. 5 Find the zeros of the quadratic polynomial $f(x)=x^{2}-2 x-8$ and verify and the relationship between the zeros and their coefficients.
POLYNOMIALS
Sol. $\quad f(x)=x^{2}-2 x-8$
$.\Rightarrow f(x)=x^{2}-4 x+2 x-8 \quad \Rightarrow \quad f(x)=x(x-4)+2(x-4)]$
$\Rightarrow f(x)=(x-4)(x+2)$
Zeros of $f(x)$ are given by $f(x)=0$
$\Rightarrow \quad x^{2}-2 x-8=0 \quad \Rightarrow \quad(x-4)(x+2)=0$
$\Rightarrow x=4$ or $x=-2$
So, $\alpha=4$ and $\beta=-2$
$\therefore$ sum of zeros $\alpha+\beta$
$ =4-2=2 $
POLYNOMIALS
Also, sum of zeros $=-\frac{\text { Coefficient of } x}{\text { Coefficient of } x^{2}}=\frac{-(-2)}{1}=2$
So, sum of zeros $=\alpha+\beta=-\frac{\text { Coefficient of } x}{\text { Coefficient of } x^{2}}$
Now, product of zeros $=\alpha \beta \quad=(4)(-2)=-8$
Also, product of zeros $=\frac{\text { Constan } t \text { term }}{\text { Coefficient of } x^{2}}=\frac{-8}{1}=-8$
$\therefore \quad$ Product of zeros $=\frac{\text { Constant term }}{\text { Coefficient of } x^{2}}=\alpha \beta$.
POLYNOMIALS
Ex. 6 Find a quadratic polynomial whose zeros are $5+\sqrt{2}$ and $5-\sqrt{2}$
POLYNOMIALS
Sol. Given $\alpha=5+\sqrt{2}, \beta=5-\sqrt{2}$
$\therefore f(x)=k{x^{2}-x(\alpha+\beta)+\alpha \beta} \quad$ Here, $\quad \alpha+\beta=5+\sqrt{2}+5-\sqrt{2}=10$
and $\alpha \beta=(5+\sqrt{2})(5-\sqrt{2}) \quad=25-2=23$
$\therefore \quad f(x)=k{x^{2}-10 x+23}$, where, $k$ is any non-zero real number.
POLYNOMIALS
Ex. 7 Sum of product of zeros of quadratic polynomial are 5 and 17 respectively. Find the polynomial.
POLYNOMIALS
Sol. Given : Sum of zeros $=5$ and product of zeros $=17$
So, quadratic polynomial is given by
$\Rightarrow f(x)=k${$x^{2}-x$ (sum of zeros) + product of zeros }
$\Rightarrow f(x)=k{x^{2}-5 x+17}$, where, $k$ is any non-zero real number,
POLYNOMIALS
4.6 RELATIONSHIP BETWEEN ZEROS AND COEFFICIENTS OF A CUBIC POLYNOMIAL :
Let $\alpha, \beta, \gamma$ be the zeros of a cubic polynomial $f(x)=a x^{3}+b x^{2}+c x+d, a \neq 0$ Then, by factor theorem, $a-\alpha, x-\beta$ and $x-\gamma$ are factors of $f(x)$. Also, $f(x)$ being a cubic polynomial cannot have more than three linear factors.
$ \begin{aligned} & \therefore \quad f(x)=k(x-\alpha)(x-\beta)(x-\gamma) \quad \Rightarrow \quad a x^{3}+bx^{2}+cx+d=k(x-\alpha)(x-\beta)(x-\gamma) \\ & \Rightarrow \quad ax^{3}+bx^{2}+cx+d=k{x^{3}-(\alpha+\beta+\gamma) x^{2}+(\alpha \beta+\beta \gamma+\gamma \alpha) x-\alpha \beta \gamma} \end{aligned} $
$\Rightarrow ax^{3}+bx^{2}+cx+d=kx x^{3}-k(\alpha+\beta+\gamma) x^{2}+k(\alpha \beta+\beta \gamma+\gamma \alpha) x-k \alpha \beta \gamma$
Comparing the coefficients of $x^{3}, x^{2}, x$ and constant terms on both sides, we get
$ a=k, b=-k(\alpha+\beta+\gamma), c=(\alpha \beta+\beta \gamma+\gamma \alpha) \text { and } d=-k(\alpha \beta \gamma) $
$\Rightarrow \quad \alpha+\beta+\gamma=-\frac{b}{a} \quad \Rightarrow \quad \alpha \beta+\beta \gamma+\gamma \alpha=\frac{c}{a}$
And, $\quad \alpha \beta \gamma=-\frac{d}{a}$
$\Rightarrow \quad$ Sum of the zeros $=-\frac{b}{a}=-\frac{\text { Coefficient of } x^{2}}{\text { Coefficient of } x^{3}}$
$\Rightarrow$ Sum of the products of the zeros taken two at a time $=\frac{c}{a}=\frac{\text { Coefficient of } x}{\text { Coefficient of } x^{3}}$
$\Rightarrow$ Product of the zeros $=-\frac{d}{a}=-\frac{\text { Constan } t \text { term }}{\text { Coefficient of } x^{3}}$
POLYNOMIALS
REMARKS :
Cubic polynomial having $\alpha, \beta$ and $\gamma$ as its zeros is given by
$f(x)=k(x-\alpha)(x-\beta)(x-\gamma)$
$f(x)=k{x^{3}-(\alpha+\beta+\gamma) x^{2}+(\alpha \beta+\beta \gamma+\gamma \alpha) x-\alpha \beta \gamma}$ where $k$ is any non-zero real number.
POLYNOMIALS
Ex. 8 Verify that $\frac{1}{2}, 1-2$ are zeros of cubic polynomial $2 x^{3}+x^{2}-5 x+2$. Also verify the relationship between, the zeros and their coefficients.
POLYNOMIALS :
Sol. $\quad f(x)=2 x^{3}+x^{2}-5 x+2$
$f(\frac{1}{2})=2(\frac{1}{2})^{3}+(\frac{1}{2})^{2}-5(\frac{1}{2})+2 \quad=\frac{1}{4}+\frac{1}{4}-\frac{5}{2}+2$
$f(1)=2()^{3}+(1)^{2} 5(1)+2=2+1-5+2=0$.
$f(-2)=2(-2)^{3}+(-2)^{2}-5(-2)+2=-16+4+10+2=0$.
Let $\alpha=\frac{1}{2}, \beta=1$ and $\gamma=-2$
Now, Sum of zeros $ \begin{aligned} & =\alpha+\beta+\gamma \\ & =\frac{1}{2}+1-2=-\frac{1}{2} \end{aligned} $
Also, sum of zeros
$ =-\frac{(\text { Coefficient of } x^{2})}{\text { Coefficient of } x^{3}}=-\frac{1}{2} $
So, sum of zeros
$ =\alpha+\beta+\gamma=-\frac{(\text { Coefficient of } x^{2})}{\text { Coefficient of } x^{3}} $
POLYNOMIALS
Sum of product of zeros taken two at a time $\quad=\alpha \beta+\beta \gamma+\gamma \alpha$
$ =\frac{1}{2} \times 1+1 \times(-2)+(-2) \times \frac{1}{2}=-\frac{5}{2} $
Also, $\beta \beta+\beta \gamma+\gamma \alpha=\frac{\text { Coefficient of } x}{\text { Coefficient of } x^{3}}=\frac{-5}{2}$
So, sum of product of zeros taken two at a time $=\alpha \beta+\beta \gamma+\gamma \alpha=\frac{\text { Coefficient of } x}{\text { Coefficient of } x^{3}}$
Now, Product of zeros $=\alpha \beta \gamma \quad=(\frac{1}{2})(1)(-2)=-1$
Also, product of zeros $=\frac{\text { Constan } t \text { term }}{\text { Coefficient of } x^{3}}=\frac{-2}{2}=-1$
$\therefore \quad$ Product zeros $=\alpha \beta \gamma=-\frac{\text { Constant term }}{\text { Coefficient of } x^{3}}$
POLYNOMIALS
Ex. 9 Find a polynomial with the sum, sum of the product of its zeros taken two at a time, and product its zeros as $3,-1$ and -3 respectively.
POLYNOMIALS
Sol. Given $\alpha+\beta+\gamma=3, \alpha \beta+\beta \gamma+\gamma \alpha=-1$ and $\alpha \beta \gamma=-3$
So, polynomial $f(x)=k{x^{3}-x^{2}(\alpha+\beta+\gamma)+x(\alpha \beta+\beta \gamma+\gamma \alpha)-\alpha \beta \gamma}$
$f(x)=k{x^{3}-3 x^{2}-x+3}$, where $k$ is any non-zero real number.
POLYNOMIALS
4.7 VALUE OF A POLYNOMIAL :
The value of a polynomial $\mathbf{f}(\mathbf{x})$ at $\mathbf{x}=\alpha$ is obtained by substituting $x=\alpha$ in the given polynomial and is denoted by $f(\alpha)$.
For example : If $f(x)=2 x^{3}-13 x^{2}+17 x+12$ then its value at $x=1$ is
$f(1)=2(1)^{3}-13(1)^{2}+17(1)+12=2-13+17+12=18$.
POLYNOMIALS
4.8 ZEROS OF ROOTS OF A POLYNOMIAL :
A real number ’ $\mathbf{a}$ ’ is a zero of a polynomial $f(x)$, if $f(a)=0$, Here ’ $a$ ’ is called a root of the equation $f(x)=0$.
Ex. 10 Show that $x=2$ is a root of $2 x^{3}+x^{2}-7 x-6$
Sol. $p(x)=2 x^{3}+x^{2}-7 x-6$.
Then, $p(2)=2(2)^{3}+(2)^{2}-7(2)-6=16+4-14=0$
Hence $x=2$ is a root of $p(x)$.
POLYNOMIALS
Ex. 11 If $x=\frac{4}{3}$ is a root of the polynomial $f(x)=6 x^{3}-11 x^{2}+k x-20$ then find the value of $k$.
POLYNOMIALS
Sol. $\quad f(x)=6 x^{3}-11 x^{2}+k x-20$
$ \begin{aligned} & f(\frac{4}{3})=6(\frac{4}{3})^{3}-11(\frac{4}{3})^{2}+k(\frac{4}{3})-20=0 \\ & \Rightarrow 6(\frac{64}{27})-11(\frac{16}{9})+\frac{4 k}{3}-20=0 \Rightarrow 6(\frac{64}{27})-11(\frac{16}{9})+\frac{4 k}{3}-20=0 \\ & \Rightarrow \quad 128-176+12 k-180=0 \quad \Rightarrow \quad 12 k+128-356=0 \\ & \Rightarrow \quad 12 k=228 \quad \Rightarrow \quad k=19 \end{aligned} $
POLYNOMIALS
Ex. 12 If $x=2 $ & $ x=0$ are roots of the polynomials $(f) x=2 x^{3}-5 x^{2}+a x+b$, then find the values of $a$ and $b$ /
POLYNOMIALS
Sol. $\quad f(2)=2(2)^{3}-5(2)^{2}+a(2)+b=0$
$\Rightarrow 16-20+2 a+b=0 \Rightarrow \quad 2 a+b=4$ …(i)
$\Rightarrow f(0)=2(0)^{3}-5(0)^{2}+a(0)+b=0 $
$\Rightarrow b=0$
$\Rightarrow 2 a=4 \Rightarrow a=2, b=0$.
POLYNOMIALS
4.9 FACTOR THEOREM :
Let $\mathbf{p}(\mathbf{x})$ be a polynomial of degree greater than or equal to 1 and ’ $\mathbf{a}$ ’ be a real number such that $\mathbf{p ( a )}=\mathbf{0}$. then $(\mathbf{x}-\mathbf{a})$ is a factor of $\mathbf{p}(\mathbf{x})$. Conversely, if $(\mathbf{x}-\mathbf{a})$ is a factor of $\mathbf{p}(\mathbf{x})$, then $\mathbf{p}(\mathbf{a}) \mathbf{=} \mathbf{0}$.
Ex. 13 Show that $x+1$ and $2 x-3$ are factors of $2 x^{3}-9 x^{2}+x+12$.
POLYNOMIALS
Sol. To prove that $(x+1)$ and $(2 x-3)$ are factors of $p(x)=2 x^{3}-9 x^{2}+x+12$ it is sufficient to show that $p(-1)$ and $p(\frac{3}{2})$ both are equal to zero.
$p(-1)=2(-1)^{3}-9(-1)^{2}+(-1)+12=-2-9-1+12=-12+12=0$
And $p(\frac{3}{2})=2(\frac{3}{2})^{3}-9(\frac{3}{2})^{2}+(\frac{3}{2})+12$
$=\frac{27}{4}-\frac{81}{4}+\frac{3}{2}+12=\frac{27-81+6+48}{4}=\frac{-81+81}{4}=0$
POLYNOMIALS
Ex. 14 Find $\alpha$ and $\beta$ if $x+1$ and $x+2$ are factors of $p(x)=x^{3}+3 x^{2}-2 \alpha x+\beta$.
POLYNOMIALS
Sol. $x+1$ and $x+2$ are the factor of $p(x)$.
Then, $p(-1)=0$ & $p(-2)=0$
Therefore, $p(-1)=(-1)^{3}+3(-1)^{2}-2 \alpha(-1)+\beta=0$
$\Rightarrow-1+3+2 \alpha+\beta=0 \Rightarrow \beta=-2 \alpha-2$ …(i)
$ p(-2)=(-2)^{3}+3(-2)^{2}-2 \alpha(-2)+\beta=0 $
$\Rightarrow-8+12+4 \alpha+\beta=0 \Rightarrow \beta=-4 \alpha-4$ …(ii)
From equation (1) and (2)
$ -2 \alpha-2=-4 \alpha-4 \quad \Rightarrow \quad 2 \alpha=-2 \Rightarrow \alpha=-1 $
Put $\alpha=-1$ equation (1) $\quad \Rightarrow \quad \beta=-2(-1)-2=2-2=0$. Hence $\alpha=-1, \beta=0$
POLYNOMIALS
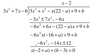
Ex. 15 What must be added to $3 x^{3}+x^{2}-22 x+9$ so that the result is exactly divisible by $3 x^{2}+7 x-6$.
POLYNOMIALS
Sol. Let $p(x)=3 x^{3}+x^{2}-22 x+9$ and $q(x)=3 x^{2}+7 x-6$
We know if $p(x)$ is divided by $q(x)$ which is quadratic polynomial then the remainder be $r(x)$ and degree of $r(x)$ is less than $q(x)$ or Divisor.
$\therefore \quad$ By long division method
Let we added $ax+b$ (linear polynomial) in $p(x)$, so that $p(x)+ax+b$ is exactly divisible by $3 x^{2}+7 x-6$.
Hence, $p(x)+a x+b=s(x)=3 x^{3}-x^{2}-22 x+9+a x+b=3 x^{3}+x^{2} x(22-a)+(9+b)$.
POLYNOMIALS
Hence, $x(a-2)+b-3=0 . x+0$
$\Rightarrow \quad a-2=0$ & $ b-3=0 \quad \Rightarrow \quad a=2$ and $b=3$
Hence if in $p(x)$ we added $2 x+3$ then it is exactly divisible by $3 x^{2}+7 x-6$.
POLYNOMIALS
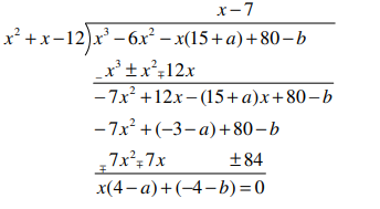
Ex. 16 What must be subtracted from $x^{3}-6 x^{2}-15 x+80$ so that the result is exactly divisible by $2+x-12$.
POLYNOMIALS
Sol. Let $a x+b$ be subtracted from $p(x)=x^{3}-6 x^{2}-15 x+80$ so that it is exactly divisible by $x^{2}+x-12$.
$\therefore \quad s(x)=x^{3}-6 x^{2}-15 x+80-(ax+b)$
$=x^{3}-6 x^{2}-(15+a) x+(80-b)$
Dividend $=$ Divisor $\times$ quotient + remainder
But remainder will be zero.
$\therefore \quad$ Dividend $=$ Divisor $\times$ quotient
$\Rightarrow s(x)=(x^{2}+x-12) \times \text { quotient } \quad \Rightarrow \quad s(x)=x^{3}-6 x^{2}-(15+a) x+(80-b) $
POLYNOMIALS
Hence, $x(4-a)+(-4-b)=0 . x+0$
$\Rightarrow \quad 4-a=0 $ & $(-4-b)=0 \quad \Rightarrow \quad a=4$ and $b=-4$
Hence, if in $p(x)$ we subtract $4 x-4$ then it is exactly divisible by $x^{2}+x-12$.
POLYNOMIALS
Ex. 17 Using factor theorem, factorize : $p(x)=2 x^{4}-7 x^{3}-13 x^{2}+63 x-45$.
POLYNOMIALS
Sol. $\quad 45 \Rightarrow \pm 1, \pm 3, \pm 5, \pm 9, \pm 15, \pm 45$
If we put $x=1$ in $p(x)$
$p(1)=2(1)^{4}-7(1)^{3}-13(1)^{2}+63(1)-45$
$p(1)=2-7-13+63-45=65-65=0$
$\therefore \quad x=1$ or $x-1$ is a factor of $p(x)$.
Similarly if we put $x=3$ in $p(x)$
$p(3)=2(3)^{4}-7(3)^{3}-13(3)^{2}+63(3)-45$
$p(3)=162-189-117+189-45=162-162=0$
POLYNOMIALS
Hence, $x=3$ or $(x-3)=0$ is the factor of $p(x)$.
$p(x)=2 x^{4}-7 x^{3}-13 x^{2}+63 x-45$
$\therefore \quad p(x)=2 x^{3}(x-1)-5 x^{2}(x-1)-18 x(x-1)+45(x-1)$
$\Rightarrow p(x)=(x-1)(2 x^{3}-5 x^{2}-18 x+45)$ $\Rightarrow \quad p(x)=(x-1)(2 x^{3}-5 x^{2}-18 x+45)$
$\Rightarrow p(x)=(x-1)[2 x^{2}-(x-3)+x(x-3)-15(x-3)]$ $\Rightarrow \quad p(x)=(x-1)(x-3)(2 x^{2}+x-15)$
$\Rightarrow p(x)=(x-1)(x-3)(2 x^{2}+6 x-5 x-15)$ $\Rightarrow \quad p(x)=(x-1)(x-3)[2 x(x+3)-5(x+3)]$
$\Rightarrow p(x)=(x-1)(x-3)(x+3)(2 x-5)$.
POLYNOMIALS
4.10 REMAINDER THEOREM :
Let $\mathbf{p}(\mathbf{x})$ be any polynomial of degree greater than or equal to one and ’ $\mathbf{a}$ ’ be any real number. If $\mathbf{p}(\mathbf{x})$ is divided by $\mathbf{x}-\mathbf{a})$, then the remainder is equal to $\mathbf{p ( a )}$.
Let $q(x)$ be the quotient and $r(X)$ be the remainder when $p(x)$ is divided by $(x-a)$, then
Dividend $=$ Divisor $\times$ Quotient + Remainder
POLYNOMIALS
Ex. 18 Find the remainder when $f(x)=x^{3}-6 x^{2}+2 x-4$ is divided by $g(x)=1-2 x$.
POLYNOMIALS
Sol. $\quad 1-2 x=0 \Rightarrow 2 x=1 \Rightarrow x=\frac{1}{2}$
$f(\frac{1}{2})=(\frac{1}{2})^{3}-6(\frac{1}{2})^{2}+2(\frac{1}{2})-4=\frac{1}{8}-\frac{3}{2}+1-4=\frac{1-12+8-32}{8}=-\frac{35}{8}$
POLYNOMIALS
Ex. 19 Apply division algorithm to find the quotient $q(x)$ and remainder $r(x)$ on dividing $f(x)=10 x^{4}+17 x^{3}$. $62 x^{2}+30 x-3$ by $b(x)=2 x^{2}-x+1$.
POLYNOMIALS
Sol.
So, quotient $q(x)=5 x^{2}+11 x-28$ and remainder $r(x)=-9 x+25$.
Now, dividend $=$ Quotient $\times$ Divisor + Remainder
$=(5 x^{2}+11 x-28)(2 x^{2}-x+1)+(-9 x+25)$
$=10 x^{4}-5 x^{3}+5 x^{2}+22 x^{3}-11 x^{2}+11 x-56 x^{2}+28 x-28-9 x+25$
$=10 x^{4}+17 x^{3}-62 x^{2}+30 x-3$
Hence, the division algorithm is verified.
POLYNOMIALS
Ex. 20 Find all the zeros of the polynomial $f(x)=2 x^{4}-2 x^{3}-7 x^{2}+3 x+6$, if two of its zeros are $-\sqrt{\frac{3}{2}}$ and $\sqrt{\frac{3}{2}}$.
POLYNOMIALS
Sol. Since $-\sqrt{\frac{3}{2}}$ and $\sqrt{\frac{3}{2}}$ are zeros of $f(x)$.
Therefore, $(x+\sqrt{\frac{3}{2}})(x-\sqrt{\frac{3}{2}})=(x^{2}-\frac{3}{2})=\frac{2 x^{2}-3}{2}$ or $2 x^{2}-3$ is a factor of $f(x)$.
$\therefore \quad 2 x^{4}-2 x^{3}-7 x^{2}+3 x+6=(2 x^{2}-3)(x^{2}-x-2)$
$=(2 x^{2}-3)(x-2)(x+1) $
$=2(x+\sqrt{\frac{3}{2}})(x-\sqrt{\frac{3}{2}})(x-2)(x+1) \quad \text { So, the zeros are }-\sqrt{\frac{3}{2}}, \sqrt{\frac{3}{2}}, 2,-1 $
POLYNOMIALS
DAILY PRACTICE PROBLESM 4
OBJECTIVE DPP - 4.1
1. If $4 x^{4}-3 x^{3}-3 x^{2}+x-7$ is divided by $1-2 x$ then remainder will be
(A) $\frac{57}{8}$ $\quad$
(B) $-\frac{59}{8}$ $\quad$
(C) $\frac{55}{8}$ $\quad$
(D) $-\frac{55}{8}$
POLYNOMIALS
| Que. | 1 |
|---|---|
| Ans. | B |
POLYNOMIALS
2. The polynomials $a x^{3}+3 x^{2}-3$ and $2 x^{3}-5 x+$ a when divided by $(x-4)$ leaves remainders $R_1 $&$ R_2$ respectively then value of ’ $a$ ’ if $2 R_1-R_2=0$.
(A) $-\frac{18}{127}$ $\quad$
(B) $\frac{18}{127}$ $\quad$
(C) $\frac{17}{127}$ $\quad$
(D) $-\frac{17}{127}$
POLYNOMIALS
| Que. | 2 |
|---|---|
| Ans. | B |
POLYNOMIALS
3. A quadratic polynomial is exactly divisible by $(x+1)$ & $(x+2)$ and leaves the remainder 4 after division by $(x+3)$ then that polynomial is
(A) $x^{2}+6 x+4$ $\quad$
(B) $2 x^{2}+6 x+4$ $\quad$
(C) $2 x^{2}+6 x-4$ $\quad$
(D) $x^{2}+6 x-4$
POLYNOMIALS
| Que. | 3 |
|---|---|
| Ans. | B |
POLYNOMIALS
4. The values of $a $ & $ b$ so that the polynomial $x^{3}-a x^{2}-13 x+b$ is divisible by $(x-1) $ & $(x+3)$ are
(A) $a=15, b=3$ $\quad$
(B) $a=3, b=15$ $\quad$
(C) $c=-3, b=15$ $\quad$
(D) $a=3, b=-15$
POLYNOMIALS
| Que. | 4 |
|---|---|
| Ans. | B |
POLYNOMIALS
5. Graph of quadratic equation is always a -
(A) straight line $\quad$
(B) circle $\quad$
(C) parabola $\quad$
(D) Hyperbola
POLYNOMIALS
| Que. | 5 |
|---|---|
| Ans. | C |
POLYNOMIALS
6. If the sign of ’ $a$ ’ is positive in a quadratic equation then its graph should be $=$
(A) parabola open upwards $\quad$
(B) parabola open downwards $\quad$
(C) parabola open leftwards $\quad$
(D) can’t be determined
POLYNOMIALS
| Que. | 6 |
|---|---|
| Ans. | A |
POLYNOMIALS
7. The graph of polynomial $y=x^{3}-x^{2}+x$ is always passing through the point -
(A) $(0,0)$ $\quad$
(B) $(3,2)$ $\quad$
(C) $(1,-2)$ $\quad$
(D) all of these
POLYNOMIALS
| Que. | 7 |
|---|---|
| Ans. | A |
POLYNOMIALS
8. How many time, graph of the polynomial $f(x)=x^{3}-1$ will intersect $X$-axis -
(A) 0 $\quad$
(B) 1 $\quad$
(C) 2 $\quad$
(D) 4
POLYNOMIALS
| Que. | 8 |
|---|---|
| Ans. | B |
POLYNOMIALS
9. Which of the following curve touches $X$-axis -
(A) $x^{2}-2 x+4$ $\quad$
(B) $3 x^{2}-6 x+1$ $\quad$
(C) $4 x^{2}-16 x+9$ $\quad$
(D) $25 x^{2}-20 x+4$
POLYNOMIALS
| Que. | 9 |
|---|---|
| Ans. | D |
POLYNOMIALS
10. In the diagram given below shows the graphs of the polynomial $f(x)=a x^{2}+b x+c$, then
(A) a $<0$, b $<0$ and $c>0$
(B) a $<0$, b $<0$ and $c<0$
(C) $a<0, b>0$ and $c>0$
(D) a $<0$, b $>0$ and $c<0$

POLYNOMIALS
| Que. | 10 |
|---|---|
| Ans. | A |
POLYNOMIALS
SUBJECTIVE DPP 4.2
1. Draw the graph of following polynomials.
a. $f(x)=-3$ $\quad$
b. $ f(x)=x-4$ $\quad$
c. $ f(x)=|x+2|$ $\quad$
d. $f(x)=x^{2}-9$ $\quad$
e. $f(x)=2 x^{2}-4 x+5$ $\quad$
f. $ f(x)=x(2-3 x)+1$ $\quad$
g. $f(x)=x^{3}-x^{2}$ $\quad$
h. $ f(x)=x^{3}+2 x$ $\quad$
POLYNOMIALS
2. Find the zeros of quadratic polynomial $p(x)=4 x^{2}+24 x+36$ and verify the relationship between the zeros and their coefficients.
POLYNOMIALS
Sol. 2. $-3,-3$ $\quad$
POLYNOMIALS
3. Find a quadratic polynomial whose zeros are 5 and -5 .
POLYNOMIALS
Sol. 3. $k[x^{2}-25]$ $\quad$
POLYNOMIALS
4. Sum and product of zeros of a quadratic polynomial are 2 and $\sqrt{5}$ respectively. Find the quadratic polynomial.
POLYNOMIALS
Sol. 4. $ k[x^{2}-2 x+\sqrt{5}]$ $\quad$
POLYNOMIALS
5. Find a quadratic polynomial whose zeros are $3+\sqrt{5}$ and $3-\sqrt{5}$.
POLYNOMIALS
Sol. 5. $k[x^{2}-6 x+4]$ $\quad$
POLYNOMIALS
6. Verify that $-5, \frac{1}{2}, \frac{3}{4}$ are zeros of cubic polynomial $4 x^{3}+20 x+2 x-3$. Also verify the relationship between the zeros and the coefficients.
POLYNOMIALS :
7. Divide $64 y^{3}-1000$ by $8 y-20$.
POLYNOMIALS :
Sol. 7. $8 y^{2}+20 y+50$ $\quad$
POLYNOMIALS :
8. If $\alpha, \beta$ are zeros of $x^{2}+5 x+5$, find the value of $\alpha^{-1}+\beta^{-1}$.
POLYNOMIALS :
Sol. 8. $-1$ $\quad$
POLYNOMIALS :
9. Apply the division algorithm to find the quotient and remainder on dividing $p(x)=x^{4}-3 x^{2}+4 x+5$ by $g(x)=x^{2}+1-x$.
POLYNOMIALS :
Sol. 9. Quotient $=x^{2}+x-3$, Remainder $=8$ $\quad$
POLYNOMIALS
10. On dividing $x^{3}-3 x^{2}+x+2$ by polynomial $g(x)$, the quotient remainder were $x \quad 2$ and $-2 x+4$, respectively. Find $g(x)$.
POLYNOMIALS
Sol. 10. $x^{2}-x+1$ $\quad$
POLYNOMIALS :
11. $\alpha, \beta, \gamma$ are zeros of cubic polynomial $x^{3}-12 x^{2}+44 x+c$. If $\alpha, \beta, \gamma$ are in A.P., find the value of $c$.
POLYNOMIALS :
Sol. 11. $c=-48$ $\quad$
POLYNOMIALS :
12. Obtain all the zeros of $3 x^{4}+6 x^{3}-2 x^{2}-10 x-5$, if two of its zeros are $\sqrt{\frac{5}{3}}$ and $-\sqrt{\frac{5}{3}}$.
POLYNOMIALS :
Sol. 12. $\sqrt{\frac{5}{3}},-\sqrt{\frac{5}{3}},-1$ and -1 $\quad$
POLYNOMIALS :
13. What must be added to $x^{3}-3 x^{2}-12 x+19$ so that the result is exactly divisible by $x^{2}+x-6$ ?
POLYNOMIALS :
Sol. 13. $2 x+5$ $\quad$
POLYNOMIALS :
14. What must be subtracted from $x^{4}+2 x^{3}-13 x^{2}-12 x+21$ so that the result is exactly divisible by $x^{2}-4 x+3$ ?
POLYNOMIALS :
Sol. 14. $2 x-3$ $\quad$
POLYNOMIALS :
15. If $\alpha, \beta$ are zeros of quadratic polynomial $kx^{2}+4 x+4$, find the value of $k$ such that $(\alpha+\beta)^{2}-2 \alpha \beta=24$.
POLYNOMIALS :
Sol. 15. $k=\frac{2}{3},-1$ $\quad$
POLYNOMIALS :
16. Find the quadratic polynomial sum of whose zeros is 8 and their product is 12 . Hence find $f$ the zeros of the polynomial. $\quad$
[CBSE - 2008]
POLYNOMIALS :
Sol. 16. $k{x^{2}-8 x+12}$ and zeros are $6$ & $2$.
POLYNOMIALS :
17. Is $x=-4$ a solution of the equations $2 x^{2}+5 x-12=0>$
POLYNOMIALS
Sol. 17. Yes $\quad$
POLYNOMIALS :
18. Write the number of zeros of the polynomial $y=f(x)$ whose graph is given figure $\quad$
[CBSE - 2008]
POLYNOMIALS :
Sol. 18. No. of zeros $=3$ $\quad$
POLYNOMIALS
19. If the product of zeros of the polynomial $a x^{2}-6 x-6$ is 4 , find the value of $a$ .
[CBSE - 2008]
POLYNOMIALS
Sol. 19. $a=-\frac{3}{2}$ $\quad$





